Three-Hump Camel Function


Description:
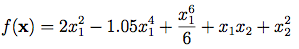
Dimensions: 2The plot on the left shows the three-hump Camel function on its recommended input domain, and the plot on the right shows only a portion of this domain, to allow for easier viewing of the function's key characteristics. The function has three local minima.
Input Domain:
The function is usually evaluated on the square xi ∈ [-5, 5], for all i = 1, 2.Global Minimum:
Code:
Reference:
Test functions for optimization. In Wikipedia. Retrieved June 2013, from https://en.wikipedia.org/wiki/Test_functions_for_optimization.
For questions or comments, please email Derek Bingham at: dbingham@stat.sfu.ca.
LastUpdated
Copy