Power Sum Function


Description:
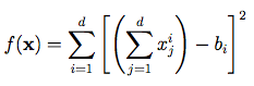
Dimensions: dThe Power Sum function. It is shown above in its two-dimensional form. The recommended value of the b-vector, for d = 4, is: b = (8, 18, 44, 114).
Input Domain:
The function is usually evaluated on the hypercube xi ∈ [0, d], for all i = 1, …, d.Code:
Reference:
Global Optimization Test Problems. Retrieved June 2013, from
http://www-optima.amp.i.kyoto-u.ac.jp/member/student/hedar/Hedar_files/TestGO.htm.
For questions or comments, please email Derek Bingham at: dbingham@stat.sfu.ca.
LastUpdated
Copy