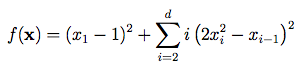
Dixon-Price Function


Description:
Dimensions: dInput Domain:
The function is usually evaluated on the hypercube xi ∈ [-10, 10], for all i = 1, …, d.Global Minimum:
Code:
Reference:
Global Optimization Test Functions Index. Retrieved June 2013, from http://infinity77.net/global_optimization/test_functions.html#test-functions-index.
For questions or comments, please email Derek Bingham at: dbingham@stat.sfu.ca.
LastUpdated
Copy