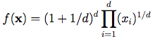
Morokoff & Caflisch (1995) Function 1


Description:
Dimensions: dThe exact value of the integral with this function as an integrand is 1 (Gerstner & Griebel, 1998). The variance and variation are easily obtained, because the function is formed from the products of one-dimensional functions.
Kucherenko et al. (2011) classify it as a Type B function, meaning that it has dominant low-order terms and a small effective dimension.
Input Domain:
The function is integrated over xi ∈ [0, 1], for all i = 1, …, d.Code:
References:
Gerstner, T., & Griebel, M. (1998). Numerical integration using sparse grids. Numerical algorithms, 18(3-4), 209-232.
Kucherenko, S., Feil, B., Shah, N., & Mauntz, W. (2011). The identification of model effective dimensions using global sensitivity analysis. Reliability Engineering & System Safety, 96(4), 440-449.
Levitan, Y. L., Markovich, N. I., Rozin, S. G., & Sobol, I. Y. M. (1988). Short communications on quasirandom sequences for numerical computations. USSR Computational Mathematics and Mathematical Physics, 28(3), 88-92.
Morokoff, W. J., & Caflisch, R. E. (1995). Quasi-monte carlo integration. Journal of computational physics, 122(2), 218-230.
For questions or comments, please email Derek Bingham at: dbingham@stat.sfu.ca.
LastUpdated
Copy