Course outline:
Example 1: Three cards: one red on both sides, one black on both sides, one black on one side, red on the other. Shuffle, pick card at random. Side up is Black. What is the probability the side down is Black?
Solution: To do this carefully, enumerate sample space,
, of all possible outcomes. Six sides to the three cards.
Label three red sides 1, 2, 3 with sides 1, 2 on the all red card (card
# 1).
Label three black sides 4, 5, 6 with 3, 4 on opposite sides of mixed
card (card #2). Define some events:
side |
||
side showing is black |
||
card |
One representation
. Then
,
,
and so on.
Modelling: assumptions about some probabilities; deduce probabilities of other events. In example simplest model is
Apply two rules:
and
,
. (Of course
Definition of conditional probability:
Example 2: Monte Hall, Let's Make a Deal. Monte shows you 3 doors. Prize hidden behind one. You pick a door. Monte opens a door you didn't pick; shows you no prize; offers to let you switch to the third door. Do you switch?
Sample space: typical element is
where
is number
of door with prize,
is number of your first pick and
is
door Monte opens with no prize.
| (1,1,2) | (1,1,3) | (1,2,3) | (1,3,2) |
| (2,1,3) | (2,2,1) | (2,2,3) | (2,3,1) |
| (3,1,2) | (3,2,1) | (3,3,1) | (3,3,2) |
Model? Traditionally we define events like
Prize behind door |
||
You choose door |
. We
are assuming we have no prior reason to suppose
Monte favours one door. But these and all other
probabilities depend on the behaviour of people
so are open to discussion.
The event
, that you lose if you switch is
![]() |
![]() |
|
![]() |
||
![]() |
||
![]() |
||
![]() |
||
So the event you win by switching has probability 2/3 and you should switch.
Usual phrasing of problem. You pick 1, Monte shows 3. Should
you take 2? Let
be rv
door Monte
shows you. Question:
Modelling assumptions do not determine this; it depends on Monte's method for choosing door to show when he has a choice. Two simple cases:
Use Bayes' rule:




For case 1 we get
Notice that in case 2 if we pick door 1 and Monte shows us door 2 we should definitely switch. Notice also that it would be normal to assume that Monte used the case 1 algorithm to pick the door to show when he has a choice; otherwise he is giving the contestant information. If the contestant knows Monte is using algorithm 2 then by switching if door 2 is shown and not if door 3 is shown he wins 2/3 of the time which is as good as the always switch strategy.
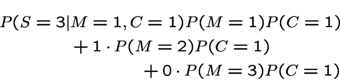
Example 3: Survival of family names. Traditionally: family name follows sons. Given man at end of 20th century. Probability descendant (male) with same last name alive at end of 21st century? or end of 30th century?
Simplified model: count generations not years. Compute probability,
of survival of name for
generations.
Technically easier to compute
, probability of extinction by
generation
.
Useful rvs:
# of male children of first man
# of male children in generation $k$
:
. Let
![]() |
child |
|
in generations |
are independent. In other words: one son's
descendants don't affect other sons' descendants.
is
.
In other words: sons are just like the parent.
.
![]() |
||
![]() |
||
![]() |
||
![]() |
so that the limit of
the
, must exist and (because
Geometric Distribution: Assume
Then
![]() |
![]() |
|
![]() |
||
![]() |
to get
the only root which is a probability is 1 and
. If
then in fact
.
Binomial(
): If
![]() |
![]() |
|
![]() |
has two roots. One is 1. The other is
less than 1 if and only if
.
Poisson(
): Now
has two roots. One is 1. The other
is less than 1 if and only if
.
Important Points:
Example 3: Mean values
= total number of sons in generation
.
for convenience.
Compute
.
Recall definition of expected value:
If
is discrete then
If
is absolutely continuous then
Theorem: If
,
has density
then
Key properties of
:
1: If
then
. Equals iff
.
2:
.
3: If
then
4:
.
Conditional Expectations
If
,
, two discrete random variables then
Extension to absolutely continuous case:
Joint pmf of
and
is defined as
is
have joint density
then
Example:
![]() |
![]() |
|
![]() |
||
![]() |
The marginal density of
is, for
.
![]() |
![]() |
|
![]() |
||
![]() |
For
not in
the integral is 0 so
Conditional Densities
If
and
have joint density
then
we define the conditional density of
given
by
analogy with our interpretation of densities. We take limits:

Going back to our interpretation of joint densities and ordinary densities we see that our definition is just
as the joint density and to
as
the marginal density of
Example: For
of previous example conditional density
of
given
defined only for
:
random variable. Observe
![]() |
![]() |
|
![]() |
||
![]() |
WARNING: in sum
is required and
,
integers
so sum really runs from
to
![]() |
![]() |
|
![]() |
||
![]() |
||
![]() |
Conditional Expectations
If
and
are continuous random variables with joint density
we define:
Key properties of conditional expectation
1: If
then
. Equals iff
.
2:
.
3: If
and
are independent then
4:
.
Example:
:
,
![]() |
![]() |
|
![]() |
Computing expectations by conditioning:
Notation:
is the function of
you get by
working out
, getting a formula in
and replacing
by
. This makes
a random variable.
Properties:
1:
.
2: If
and
are independent then
3:
.
4:
(compute average
holding
fixed first, then average over
).
In example:
![]() |
![]() |
|
![]() |
||
![]() |
||
![]() |
||
![]() |
||
![]() |
||
![]() |
||
![]() |
For
expect exponential decay. For
exponential
growth (if not extinction).
We have reviewed the following definitions:
satisfying:
and
.
pairwise disjoint
(
)
discrete:
continuous:
; probabilities are double integrals
is previous with
Tactics:
is known.
is a partition
then
Tactics for expected values:
Last names example has following structure: if, at generation
there are
individuals then number of sons in
next generation has distribution of sum of
independent
copies of the random variable
which is number of sons I have.
This distribution does not depend on
, only on value
of
.
Call
a Markov Chain.
Ingredients of a Markov Chain:
of random variables whose values
are all in
for
.
and
The stochastic process
is called a
Markov chain if
and for all
. Usually used with
.
The matrix
is called a transition matrix.
Example: If
in the last names example has
a Poisson
distribution then given
,
is like sum of
independent Poisson
rvs which has a Poisson(
) distribution.
So
Example: Weather: each day is dry (D) or wet (W).
is weather on day n.
Suppose dry days tend to be followed by dry days, say 3 times in 5 and wet days by wet 4 times in 5.
Markov assumption: yesterday's weather irrelevant to prediction of tomorrow's given today's.
Transition Matrix:
Now suppose it's wet today. P(wet in 2 days)?
![]() |
||
![]() |
||
![]() |
||
![]() |
||
![]() |
||
![]() |
||
![]() |
||
![]() |
||
![]() |
||
![]() |
||
![]() |
||
![]() |
is exactly the
entry
in
General case. Define
![]() |
![]() |
|
![]() |
||
![]() |
||
![]() |
||
![]() |
Proof of these assertions by induction on
.
Example for
. Two bits to do:
First suppose
are discrete variables.
Assume
![]() |
![]() |
|
![]() |
. Then I claim
![]() |
![]() |
|
![]() |
Proof of claim:
![]() |
![]() |
|
![]() |
||
![]() |
||
![]() |
||
![]() |
||
![]() |
||
![]() |
||
![]() |
Second step: consider
![]() |
![]() |
|
![]() |
||
![]() |
||
![]() |
||
![]() |
||
![]() |
||
![]() |
More general version

Summary: A Markov Chain has stationary
step transition
probabilities which are the
th power of the 1 step transition
probabilities.
Here is Maple output for the 1,2,4,8 and 16 step transition matrices for our rainfall example:
> p:= matrix(2,2,[[3/5,2/5],[1/5,4/5]]);
[3/5 2/5]
p := [ ]
[1/5 4/5]
> p2:=evalm(p*p):
> p4:=evalm(p2*p2):
> p8:=evalm(p4*p4):
> p16:=evalm(p8*p8):
This computes the powers ( evalm understands
matrix algebra).
Fact:
> evalf(evalm(p));
[.6000000000 .4000000000]
[ ]
[.2000000000 .8000000000]
> evalf(evalm(p2));
[.4400000000 .5600000000]
[ ]
[.2800000000 .7200000000]
> evalf(evalm(p4));
[.3504000000 .6496000000]
[ ]
[.3248000000 .6752000000]
> evalf(evalm(p8));
[.3337702400 .6662297600]
[ ]
[.3331148800 .6668851200]
> evalf(evalm(p16));
[.3333336197 .6666663803]
[ ]
[.3333331902 .6666668098]
Where did
and
come from?
Suppose we toss a coin
and start the
chain with Dry if we get heads and Wet if we get
tails.
Then
![]() |
![]() |
|
![]() |
and
then
then
and analogously for
and
have the
same distribution.
A probability vector
is called an initial distribution for
the chain if
A Markov Chain is stationary if
An initial distribution is called stationary if the chain is
stationary. We find that
is a stationary initial distribution
if
Suppose
converges to some matrix
. Notice that
![]() |
![]() |
|
![]() |
||
![]() |
This proves that each row
of
satisfies
Def'n: A row vector
is a left eigenvector of
with
eigenvalue
if
So each row of
is a left eigenvector of
with eigenvalue
.
Finding stationary initial distributions. Consider the
for the weather example. The equation
![]() |
![]() |
|
![]() |
![]() |
![]() |
||
![]() |
||
![]() |
||
![]() |
||
![]() |
p:=matrix([[0,1/3,0,2/3],[1/3,0,2/3,0],
[0,2/3,0,1/3],[2/3,0,1/3,0]]);
[ 0 1/3 0 2/3]
[ ]
[1/3 0 2/3 0 ]
p := [ ]
[ 0 2/3 0 1/3]
[ ]
[2/3 0 1/3 0 ]
> p2:=evalm(p*p);
[5/9 0 4/9 0 ]
[ ]
[ 0 5/9 0 4/9]
p2:= [ ]
[4/9 0 5/9 0 ]
[ ]
[ 0 4/9 0 5/9]
> p4:=evalm(p2*p2):
> p8:=evalm(p4*p4):
> p16:=evalm(p8*p8):
> p17:=evalm(p8*p8*p):
> evalf(evalm(p16));
[.5000000116 , 0 , .4999999884 , 0]
[ ]
[0 , .5000000116 , 0 , .4999999884]
[ ]
[.4999999884 , 0 , .5000000116 , 0]
[ ]
[0 , .4999999884 , 0 , .5000000116]
> evalf(evalm(p17));
[0 , .4999999961 , 0 , .5000000039]
[ ]
[.4999999961 , 0 , .5000000039 , 0]
[ ]
[0 , .5000000039 , 0 , .4999999961]
[ ]
[.5000000039 , 0 , .4999999961 , 0]
> evalf(evalm((p16+p17)/2));
[.2500, .2500, .2500, .2500]
[ ]
[.2500, .2500, .2500, .2500]
[ ]
[.2500, .2500, .2500, .2500]
[ ]
[.2500, .2500, .2500, .2500]
does.
Next example:
![]() |
||
![]() |
||
![]() |
||
![]() |
||
![]() |
![]() |
||
![]() |
![]() |
|
![]() |
Pick
in
;
put
.
> p:=matrix([[2/5,3/5,0,0],[1/5,4/5,0,0],
[0,0,2/5,3/5],[0,0,1/5,4/5]]);
[2/5 3/5 0 0 ]
[ ]
[1/5 4/5 0 0 ]
p := [ ]
[ 0 0 2/5 3/5]
[ ]
[ 0 0 1/5 4/5]
> p2:=evalm(p*p):
> p4:=evalm(p2*p2):
> p8:=evalm(p4*p4):
> evalf(evalm(p8*p8));
[.2500000000 , .7500000000 , 0 , 0]
[ ]
[.2500000000 , .7500000000 , 0 , 0]
[ ]
[0 , 0 , .2500000000 , .7500000000]
[ ]
[0 , 0 , .2500000000 , .7500000000]
Notice that rows converge but to two different vectors:
(
) then
> p:=matrix([[2/5,3/5,0],[1/5,4/5,0],
[1/2,0,1/2]]);
[2/5 3/5 0 ]
[ ]
p := [1/5 4/5 0 ]
[ ]
[1/2 0 1/2]
> p2:=evalm(p*p):
> p4:=evalm(p2*p2):
> p8:=evalm(p4*p4):
> evalf(evalm(p8*p8));
[.2500000000 .7500000000 0 ]
[ ]
[.2500000000 .7500000000 0 ]
[ ]
[.2500152588 .7499694824 .00001525878906]
Basic distinguishing features: pattern of 0s in matrix
.
State
leads to state
if
for some
.
It is convenient to agree that
the identity matrix;
thus
leads to
.
Note
leads to
and
leads to
implies
leads to
(Chapman-Kolmogorov).
States
and
communicate if
leads to
and
leads
to
.
The relation of communication is an equivalence relation; it
is reflexive, symmetric and transitive: if
and
communicate and
and
communicate then
and
communicate.
Example (
signs indicate non-zero entries):
For this example:
,
,
so
are all in the same communicating class.
but not vice versa.
but not vice versa.
So the communicating classes are
A Markov Chain is irreducible if there is only one communicating class.
Notation:
State
is recurrent if
, otherwise
transient.
If
then Markov property (chain starts over when
it gets back to
) means prob return infinitely many times
(given started in
or given ever get to
) is 1.
Consider chain started from transient
.
Let
be number of visits
to state
(including visit at time 0). To return
times must return once
then starting over return
times, then never return.
So:
.
has a Geometric distribution and
.
Another calculation:
For last example:
and
are transient. Claim:
states 1, 2 and 3 are recurrent.
Proof: argument above shows each transient state is visited only finitely many times. So: there is a recurrent state. (Note use of finite number of states.) It must be one of 1, 2 and 3. Proposition: If one state in a communicating class is recurrent then all states in the communicating class are recurrent.
Proof: Let
be the known recurrent state so
Proposition also means that if 1 state in a class is transient so are all.
State
has period
if
is greatest common
divisor of
then
is a class of period 3 states
and
a class of period 2 states.
A chain is aperiodic if all its states are aperiodic.
Example: consider a sequence of independent coin tosses with probability
of Heads on a single toss. Let
be number of heads minus number of tails
after
tosses. Put
.
is a Markov Chain. State space is
, the integers and
This chain has one communicating class (for
) and
all states have period 2. According to the strong law of large
numbers
converges to
. If
this guarantees
that for all large enough
, that is, the number
of returns to 0 is not infinite. The state 0 is then transient
and so all states must be transient.
For
the situation is different. It is a fact that
# H = # T at time $n$
heads
in
Local Central Limit Theorem (normal approximation to
) (or Stirling's approximation) shows
Binomial
Start irreducible recurrent chain
in state
.
Let
be first
such that
.
Define
![]() |
![]() |
|
![]() |
||
![]() |
||
![]() |
Example
![]() |
![]() |
|
![]() |
![]() |
|
![]() |
![]() |
|
![]() |
![]() |
![]() |
![]() |
|
![]() |
![]() |
![]() |
![]() |
|
![]() |
![]() |
Notice stationary initial distribution is
Heuristic: start chain in
. Expect to return to
every
time units. So are in state
about once every
time units; i.e. limiting fraction of time in state
is
.
Conclusion: for an irreducible recurrent finite state space Markov chain
Previous conclusion is still right if there is a stationary initial distribution.
Example:
Heads
Tails after
tosses
of fair coin. Equations are
![]() |
![]() |
|
![]() |
![]() |
Some observations:
You have to go through 1 to get to 0 from 2 so
Symmetry (switching H and T):
The transition probabilities are homogeneous:
Conclusion:
![]() |
![]() |
|
![]() |
||
![]() |
Summary of the situation:
Every state is recurrent.
All the expected hitting times
are infinite.
All entries
converge to 0.
Jargon: The states in this chain are null recurrent.
Page 229, question 21: runner goes from front or back
door, prob 1/2 each. Returns front or back, prob 1/2 each.
Has
pairs of shoes, wears pair if any at departure door,
leaves at return door. No shoes? Barefoot. Long run fraction
of time barefoot?
Solution: Let
be number of shoes at front door on day
.
Then
is a Markov Chain.
Transition probabilities:
pairs at front door on day
.
is
if
goes out back door (prob is 1/2) or out front door and back
in front door (prob is 1/4). Otherwise
is
.
pairs at front door on day
.
is
if out back, in front (prob is 1/4).
is
if out
front, in back. Otherwise
is
.
0 pairs at front door on day
.
is 0 if
out front door (prob 1/2) or out back door and in back door
(prob 1/4) otherwise
is
.
Transition matrix
:
Doubly stochastic: row sums and column sums are 1.
So
for all
is stationary initial distribution.
Solution to problem: 1 day in
no shoes at front door. Half of
those go barefoot. Also 1 day in
all shoes at front door; go
barefoot half of these days. Overall go barefoot
of the time.
Insurance company's reserves fluctuate: sometimes up, sometimes down.
Ruin is event they hit 0 (company goes bankrupt). General problem.
For given model of fluctuation compute probability of ruin either
eventually or in next
time units.
Simplest model: gambling on Red at Casino. Bet $1 at a time. Win
$1 with probability
, lose $1 with probability
. Start with
dollars. Quit playing
when down to $0 or up to
. Compute
reach $N$ before $0$
= fortune after
plays.
.
Transition matrix:
![]() |
||
![]() |
||
![]() |
![]() |
Middle equation is
![]() |
![]() |
|
![]() |
||
![]() |
||
![]() |
to get
For
we get
Notice that if
our formulas for the sum of the geometric series
are wrong. But for
we get
be the expected
total number of visits to state
For
or
and
or 4:
For
or
For
first step analysis:
![]() |
![]() |
|
![]() |
![]() |
|
![]() |
![]() |
|
![]() |
![]() |
In matrix form
![]() |
![]() |
|
![]() |
Translate to matrix notation:
the
part of the transition matrix corresponding to transient states.
Solution is
Particles arriving over time at a particle detector. Several ways to describe most common model.
Approach 1: numbers of particles arriving in an interval has Poisson distribution, mean proportional to length of interval, numbers in several non-overlapping intervals independent.
For
, denote number of arrivals in
by
. Model is
has a Poisson
distribution.
the variables
are independent.
Approach 2:
Let
be the times at which the particles
arrive.
Let
with
by convention.
Then
are independent Exponential random variables with mean
.
Note
is called survival function of
.
Approaches are equivalent. Both are deductions of a model based on local behaviour of process.
Approach 3: Assume:
the probability of 1 point in the
interval
is of the form
the probability of 2 or more points in
interval
is of the form
All 3 approaches are equivalent. I show: 3 implies 1, 1 implies 2
and 2 implies 3. First explain
,
.
Notation: given functions
and
we write
[Aside: if there is a constant
such that
and
is tiny compared to
is (very) roughly the same size as
Model 3 implies 1:
Fix
, define
to be conditional probability of 0 points in
given value of process on
.
Derive differential equation for
. Given process on
and 0 points in
probability of no
points in
is
the probability of no points in
is
. Using
gives
![]() |
![]() |
|
![]() |
Notice: survival function of exponential rv..
General case. Notation:
.
is a non-decreasing function of
. Let
by conditioning on
and
.
Given
probability that
is conditional
probability of
points in
.
So, for
:

we have

we have

is increasing so only consider
.
![]() |
![]() |
|
![]() |
is dropped and
we get
With
we get
and
has Poisson
distribution.
Similar ideas permit proof of

If
is a Poisson Process we define
to be the times between 0 and the first point, the first point and
the second and so on.
Fact:
are iid exponential rvs with
mean
.
We already did
rigorously. The event
is exactly the
event
. So
I do case of
. Let
be two positive numbers and
,
. Consider event
This is almost the same as the intersection of the four events:
![]() |
![]() |
|
![]() |
![]() |
|
![]() |
![]() |
|
![]() |
![]() |
and let
is
More rigor:
.
.
First step: Compute
for
(
) and at least one point in
which has probability
Second step: write this in terms of joint cdf of
.
I do
:

.
Differentiate twice, that is, take

That completes the first part.
Now compute the joint cdf of
by
![]() |
![]() |
|
![]() |
||
![]() |
||
![]() |
Summary so far:
Have shown:
Instantaneous rates model implies independent Poisson increments model implies independent exponential interarrivals.
Next: show independent exponential interarrivals implies the instantaneous rates model.
Suppose
iid exponential rvs with means
. Define
by
if and only if
Let
be the event
. We
are to show
If
is a possible trajectory consistent with
then
has jumps at points
.
So given
with
we are essentially being given
irrelevant (independence).
![]() |
![]() |
|
![]() |
||
![]() |
The computation of
Convolution: If
and
independent rvs with
densities
and
respectively and
then
If
iid Exponential
then
has a Gamma
distribution. Density
of
is
.
Proof:
![]() |
![]() |
|
![]() |
Then
![]() |
![]() |
|
![]() |
||
![]() |
||
![]() |
||
![]() |
||
![]() |
Extreme Values: If
are independent exponential rvs
with means
then
has an exponential distribution with
mean
Proof:
![]() |
![]() |
|
![]() |
||
![]() |
Memoryless Property: conditional distribution of
given
is
exponential if
has an exponential distribution.
Proof:
![]() |
||
![]() |
||
![]() |
||
![]() |
||
![]() |
The hazard rate, or instantaneous failure rate for a positive
random variable
with density
and cdf
is
this is
Weibull random variables have density
. The corresponding survival function is
, decreasing for
. For Since
and
are independent Poisson processes with
rates
is a Poisson process with rate
.
, independently of
all other occurences. Suppose
). Then
are independent Poisson processes
with rates
.
independent rvs, each
uniformly distributed on
. Suppose
random variable independent of the
with rate
be the times at which points arrive
Given
have the same distribution
as the order statistics of a sample of size
.
,
have the same distribution
as the order statistics of a sample of size
.
Indications of some proofs:
1)
independent Poisson processes rates
,
. Let
be the event of 2 or more points
in
in the time interval
,
, the event of exactly
one point in
in the time interval
.
Let
and
be the corresponding events for
.
Let
denote the history of the processes up to time
; we
condition on
.
We are given:
Note that
Since
![]() |
![]() |
|
![]() |
||
![]() |
||
![]() |
Next let
be the event of no points in
in the time interval
and
the same
for
.
Then
![]() |
![]() |
|
![]() |
||
![]() |
||
![]() |
![]() |
![]() |
|
![]() |
.
2) The infinitesimal approach used for 1 can do part of this.
See text for rest. Events defined as in 1):
The event
that there is one point in
in
is the event,
that there is exactly one point in any of the
processes together
with a subset of
where there are two or more points in
in
but exactly one is labeled
. Since
![]() |
![]() |
|
![]() |
||
![]() |
Similarly,
is a subset of
so
. To
get independence requires more work; see the text for the algebraic
method which is easier.
3) Fix
. Let
be the number of points
in
. Given
the conditional distribution of
is Binomial
with
. So
![]() |
![]() |
|
![]() |
||
![]() |
||
![]() |
||
![]() |
||
![]() |
||
![]() |
||
![]() |
4): Fix
for
such that
we compute the probability of the event
is (
):
![\begin{multline*}
B \equiv \\
\bigcap_{i=1}^n \{N(s_{i-1}+h_{i-1},s_i]=0,N(s_i,s_i+h_i]=1\}
\\
\cap \{N(s_n+h_n,T]=0\}
\end{multline*}](img787.gif)
![]() |
![]() |
|
![]() |
||
![]() |
Divide by
and let all
go to 0 to
get joint density of
is
sample
of size
5) Replace the event
with
. With
as before we want
![\begin{multline*}
P(A\vert T < S_{n+1}< T+h)
\\
= \frac{ P(B,N(T,T+h] \ge 1)}{P(T < S_{n+1}< T+h)}
\end{multline*}](img797.gif)
and that we have
already found the limit
We are left to compute the limit of
![\begin{multline*}
\sum_{k=0}^n P(N(0,T]=k,N(T,T+h]=n+1-k)
\\
+o(h) = P(N(0,T]=n)\lambda h+o(h)
\end{multline*}](img801.gif)
![]() |
![]() |
|
![]() |
given
as in 4).
The idea of hazard rate can be used to extend the notion of Poisson
Process. Suppose
is a function of
. Suppose
is a counting process such that
has a Poisson distribution with mean
is
.
Jargon:
is the intensity or instaneous intensity
and
the cumulative intensity.
Can use the model with
any non-decreasing right continuous
function, possibly without a derivative. This allows ties.
Imagine insurance claims arise at times of a Poisson process,
,
(more likely for an inhomogeneous process).
Let
be the value of the
th claim associated
with the point whose time is
.
Assume that the
's are independent of each other and of
.
Let
and
Useful properties:
![]() |
![]() |
|
![]() |
![]() |
|
![]() |
![]() |
|
![]() |
||
![]() |
![]() |
|
![]() |
||
![]() |
Consider a population of single celled organisms in a stable environment.
Fix short time interval, length
.
Each organism has some probability of dividing to produce two organisms and some other probability of dying.
We might suppose:
.
.
.
Tacit assumptions:
Constants of proportionality do not depend on time: ``stable environment''.
Constants do not depend on organism: organisms are all similar and live in similar environments.
: total population at time
.
: history of
process up to time
.
Condition on event
.
Probability of two or more divisions
(more than one division by a single organism or two or more organisms dividing)
is
.
Probability of both a division and a death
or of two or more deaths is
.
So probability of exactly 1 division by any one of the
organisms is
.
Similarly probability of 1 death is
.
We deduce:
![]() |
![]() |
|
![]() |
||
![]() |
![]() |
|
![]() |
||
![]() |
![]() |
|
![]() |
||
![]() |
![]() |
|
![]() |
These equations lead to:
![]() |
![]() |
|
![]() |
||
![]() |
This is the Markov Property.
Definition:A process
taking values in
, a finite or countable state space is a Markov Chain
if
![]() |
![]() |
|
![]() |
||
![]() |
Definition:A Markov chain
has stationary transitions if
From now on: our chains have stationary transitions.
is Markov chain - transition matrix has
.
if
then process is a pure birth process.
If all
a pure death process.
.
Suppose
a Markov Chain with stationary transitions.
Then
![]() |
![]() |
|
![]() |
||
![]() |
||
![]() |
||
![]() |
||
![]() |
||
![]() |
||
![]() |
This shows
Now consider the chain starting from
and let
be
the first
for which
. Then
is
a stopping time.
[Technically:
![]() |
![]() |
|
![]() |
||
![]() |
Conclusion: given
,
has memoryless property
so
has an exponential distribution. Let
be the
rate parameter.
Let
be the stopping times at which
transitions occur. Then
. The sequence
is a Markov chain by the
Markov property. That
reflects the fact
that
by design.
As before we say
if
for some
.
It is fairly clear that
for the
if and only
if
for the embedded chain
.
We say
(
and
communicate) if
and
.
Now consider
. Then the event
is, except
for possibilities of probability
the event that
and
The Chapman-Kolmogorov equations are
from both sides, divide by
is the identity.
We find
The Chapman-Kolmogorov equations can also be written
from both sides, dividing by
Look at these equations in component form:
our calculations of instantaneous transition
rates gives
either means
which has probability
, a possibility of probability
.)
Thus
Let
be the matrix with entries
is the infinitesimal generator of the chain.
Thus
![]() |
![]() |
|
![]() |
On the other hand
![]() |
![]() |
|
![]() |
Remark: When the state space is infinite the forward equations may not be justified. In deriving them we interchanged a limit with an infinite sum; the interchange is always justified for the backward equations but not for forward.
Example:
. Then
![]() |
![]() |
|
![]() |
![]() |
|
![]() |
![]() |
|
![]() |
![]() |
![]() |
![]() |
|
![]() |
![]() |
|
![]() |
![]() |
|
![]() |
![]() |
Add
first plus
third backward equations to get
. This gives
Alternative calculation:
Then
![]() |
![]() |
|
![]() |
||
![]() |
![]() |
![]() |
|
![]() |
||
![]() |
Notice: rows of
are a stationary initial distribution. If rows are
then
Fact:
is long run fraction of time in
state 0.
Fact:
Consider a population of
individuals. Suppose
in next time interval
probability of population
increase of 1 (called a birth) is
and
probability of decrease of 1 (death) is
.
Jargon:
is a birth and death process.
Special cases:
All
; called a pure birth process.
All
(0 is absorbing): pure death process.
and
is a linear
birth and death process.
,
: Poisson Process.
and
is a linear
birth and death process with immigration.
Ingredients of Queuing Problem:
1: Queue input process.
2: Number of servers
3: Queue discipline: first come first serve? last in first out? pre-emptive priorities?
4: Service time distribution.
Example:
Imagine customers arriving at a facility at times of a Poisson
Process
with rate
. This is the input process,
denoted
(for Markov) in queuing literature.
Single server case:
Service distribution: exponential service times, rate
.
Queue discipline: first come first serve.
= number of customers in line at time
.
is a Markov process called
queue:
Example:
queue:
Customers arrive according to PP rate
. Each
customer begins service immediately.
is number
being served at time
.
is a birth and death process
with
We have seen that a stationary initial distribution
is
a probability vector solving
So equation says:
Rate of departure from
balances rate of arrival to
. This is called
balance.
Application to birth and death processes:
Equation is
and
![]() |
||
![]() |
||
![]() |
Apply
to get
If
is constant. Put
For fair random walk
= number of heads minus number of
tails,
![]() |
![]() |
|
![]() |
![]() |
.
We now turn these pictures into a stochastic process:
For
we define
. Moreover:
by the central limit theorem. Thus
Another observation:
is independent of
because the
two rvs involve sums of different
.
Conclusions.
As
the processes
converge to a process
with the properties:
has a
distribution.
.
Definition:Any process satisfying 1-4 above is a Brownian motion.
. Then![]() |
![]() |
|
![]() |
||
![]() |
||
![]() |
.
:
![]() |
![]() |
|
![]() |
||
![]() |
||
![]() |
||
![]() |
Suppose
. Then
is a sum
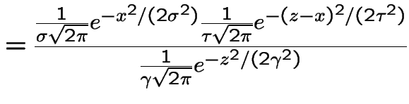
of two independent normal variables. Do following calculation:
, and
independent.
.
Compute conditional distribution of
given
:
![]() |
![]() |
|
![]() |
||
![]() |
where
so
![]() |
![]() |
|
![]() |
Coefficient of
:
.
Coefficient of
:
Finally you should check that
Conclusion: given
the conditional distribution of
is
with
and
as above.
Application to Brownian motion:
let
and
so
. Then
and
.
Thus
Tossing a fair coin:
| HTHHHTHTHHTHHHTTHTH | 5 more heads than tails |
| THTTTHTHTTHTTTHHTHT | 5 more tails than heads |
Both sequences have the same probability.
So: for random walk starting at stopping time:
Any sequence with
more heads than tails in
next
tosses is matched to sequence with
more
tails than heads. Both sequences have same prob.
Suppose
is a fair (
) random walk. Define
Compute
?
Trick: Compute
First: if
then
Second: if
then
Fix
. Consider a sequence of H's and T's which leads
to say
and
.
Switch the results of tosses
to
to get a sequence of H's and T's which
has
and
. This proves
This is true for each
so
![]() |
![]() |
|
![]() |
Finally, sum over all
to get
![]() |
![]() |
|
![]() |
Make the substitution
in the second sum to get
![]() |
![]() |
|
![]() |
||
![]() |
Brownian motion version:
Any path with
and
is matched
to an equally likely path with
and
.
So for
Let
to get
![]() |
![]() |
|
![]() |
![]() |
![]() |
|
![]() |
has the distribution
of
.
On the other hand in view of
is 1 minus the standard normal
cdf.
So
![]() |
![]() |
|
![]() |
||
![]() |
NOTE: the preceding is a density when viewed as
a function of the variable
.
A stochastic process
indexed by either a
discrete or continuous time parameter
is a
martingale if:
.
Examples
is a Poisson Process with rate
is a martingale.
Note: Brownian motion with drift is a process of the form
. We call
is a Brownian motion with drift then
a martingale.
is the amount of money s/he has after
is
a martingale - even if the bets made depend on the outcomes of
previous bets, that is, even if the gambler plays a strategy.
Some evidence for some of the above:
Random walk:
iid with
with
. Then
![]() |
![]() |
|
![]() |
||
![]() |
||
![]() |
||
![]() |
||
![]() |
treated as constant given
.
Knowing
is equivalent to knowing
.
For
we have
independent of
so conditional expectation is unconditional expectation.
Since Standard Brownian Motion is limit of such random walks we get martingale property for standard Brownian motion.
Poisson Process:
. Fix
.
![]() |
![]() |
|
![]() |
||
![]() |
||
![]() |
||
![]() |
||
![]() |
||
![]() |
Things to notice:
I used independent increments.
is shorthand for the conditioning event.
Similar to random walk calculation.
We model the price of a stock as
If annual interest rates are
we call
the
instantaneous interest rate; if we invest $1 at time 0 then
at time
we would have
. In this sense
an amount of money
to be paid at time
is worth
only
at time 0 (because that much money at
time 0 will grow to
by time
).
Present Value: If the stock price at time
is
per share
then the present value of 1 share to be delivered at time
is
Now we compute

. Write
![\begin{multline*}
{\rm E}\left\{ Z(t) \vert B(u);0 \le u \le s\right\}
\\
= x_...
...\mu-\alpha)t} \times
{\rm E}\left[e^{\sigma\{B(t)-B(s)\}}\right]
\end{multline*}](img1168.gif)
Note:
is
; the expected
value needed is the moment generating function of this variable at
.
Suppose
. The Moment Generating Function of
is
Rewrite
to see
![]() |
![]() |
|
![]() |
||
![]() |
If this identity is satisfied then the present value of the stock price is a martingale.
Suppose you can pay $
today for the right to pay
for
a share of this stock at time
(regardless of the actual price
at time
).
If, at time
,
you will exercise your option
and buy the share making
dollars.
If
you will not exercise your option; it becomes
worthless.
The present value of this option is
In a fair market:
is a martingale.
So:
Since
This is
![]() |
||
![]() |
||
![]() |
Evidently
The other integral needed is
![]() |
![]() |
|
![]() |
||
![]() |
||
![]() |
Introduce the notation
![]() |
||
![]() |
||
![]() |
This is the Black-Scholes option pricing formula.
Monte Carlo computation of expected value:
To compute
: do experiment
times to generate
independent observations all with same distribution as
.
Get
.
Use
To estimate
: use same
and compute
In practice: random quantities are not used.
Use: pseudo-random uniform random numbers.
They ``behave like'' iid Uniform(0,1) variables.
Many, many generators. One standard kind: linear congruential generators.
Start with
an integer in range
.
Compute
Integers
and
are chosen so that
runs through the set
(or as much of it is possible, sometimes).
.
.
Use
We now pretend we can generate
which are iid Uniform(0,1).
Monte Carlo methods for generating a sample:
Fact:
continuous CDF and
satisfy
Proof: For simplicity: assume
strictly increasing on
inverval
with
and
.
If
Uniform(0,1) then
![]() |
![]() |
|
![]() |
||
![]() |
Conversely: if
and
then
there is a unique
such that
![]() |
![]() |
|
![]() |
||
![]() |
||
![]() |
Application: generate
and solve
for
to get
which has cdf
.
Example:For the exponential distribution
and solve to get
Observation:
so
also has
an Exponential(
) distribution.
Example:: for
the standard normal cdf solving
Special purpose transformations:
Example:: If
and
are iid
define
and
by
NOTE: Book says
; notation
so that
Then
and go clockwise
to angle
Compute joint cdf of
at
.
Define

![]() |
![]() |
|
![]() |
So
Moreover
has cdf
.
is Uniform
.
So: generate
iid Uniform(0,1).
Define
You have generated two independent
variables.
If
difficult to solve (eg
hard
to compute) sometimes use acceptance rejection.
Goal: generate
where
.
Tactic: find density
and constant
such that
Algorithm:
let
Facts:
![]() |
![]() |
|
![]() |
||
![]() |
||
![]() |
||
![]() |
Most important fact:
:
Proof: this is like the old craps example:
We compute
Condition on
to get
![]() |
![]() |
|
![]() |
||
![]() |
||
![]() |
||
![]() |
Example:Half normal distribution:
has density
.)
Use
. To find
maximize
Choose
to minimize
(or
); get
so
Algorithm is then: generate
and
then compute
To generate
: use a third
to pick a sign
at random: negative if
otherwise positive.
The inverse transformation method works for discrete distributions.
has possible values
with
probabilities
compute
cumulative probabilities
.
Generate
Uniform(0,1).
Find
such that
Put
.