Branin Function


Description:
Dimensions: 2The Branin, or Branin-Hoo, function has three global minima. The recommended values of a, b, c, r, s and t are: a = 1, b = 5.1 ⁄ (4π2), c = 5 ⁄ π, r = 6, s = 10 and t = 1 ⁄ (8π).
Input Domain:
This function is usually evaluated on the square x1 ∈ [-5, 10], x2 ∈ [0, 15].Global Minimum:
Modifications and Alternate Forms:
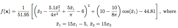
Picheny et al. (2012) use the following rescaled form of the Branin-Hoo function, on [0, 1]2:
This rescaled form of the function has a mean of zero and a variance of one. The authors also add a small Gaussian error term to the output.
For the purpose of Kriging prediction, Forrester et al. (2008) use a modified form of the Branin-Hoo function, in which they add a term 5x1 to the response. As a result, there are two local minima and only one global minimum, making it more representative of engineering functions.
Code:
MATLAB Implementation
R Implementation
MATLAB Implementation, Rescaled
R Implementation, Rescaled
MATLAB Implementation, Modified
R Implementation, Modified
R Implementation
MATLAB Implementation, Rescaled
R Implementation, Rescaled
MATLAB Implementation, Modified
R Implementation, Modified
References:
Dixon, L. C. W., & Szego, G. P. (1978). The global optimization problem: an introduction. Towards global optimization, 2, 1-15.
Forrester, A., Sobester, A., & Keane, A. (2008). Engineering design via surrogate modelling: a practical guide. Wiley.
Global Optimization Test Problems. Retrieved June 2013, from
http://www-optima.amp.i.kyoto-u.ac.jp/member/student/hedar/Hedar_files/TestGO.htm.
Molga, M., & Smutnicki, C. Test functions for optimization needs (2005). Retrieved June 2013, from http://www.zsd.ict.pwr.wroc.pl/files/docs/functions.pdf.
Picheny, V., Wagner, T., & Ginsbourger, D. (2012). A benchmark of kriging-based infill criteria for noisy optimization.
For questions or comments, please email Derek Bingham at: dbingham@stat.sfu.ca.
LastUpdated
Copy