Morris et al. (2006) Function

Description:
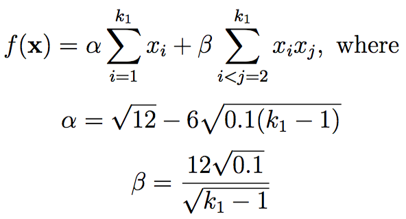
Dimensions: 30This is a function with 30 input variables, of which only the first k1 variables have an effect, for 1 ≤ k1 ≤ 10.
Morris et al. (2006) did analyses for k1 = 2, 3, …, 10. Here, α and β are chosen so as to result in θi = 1 and Θi = 1.1, for 1 ≤ i ≤ k1, where θi is a measure of the output variation attributable only to xi, and Θi is a measure of the output variation attributable to xi and any interactions involving xi.
Input Domain:
This function is evaluated on the hypercube xi ∈ [0, 1], for all i = 1, …, 30.Code:
Reference:
Morris, M. D., Moore, L. M., & McKay, M. D. (2006). Sampling plans based on balanced incomplete block designs for evaluating the importance of computer model inputs. Journal of statistical planning and inference, 136(9), 3203-3220.
For questions or comments, please email Derek Bingham at: dbingham@stat.sfu.ca.
LastUpdated
Copy