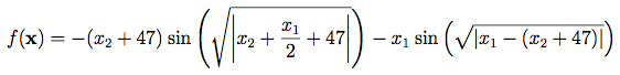
Eggholder Function


Description:
Dimensions: 2The Eggholder function is a difficult function to optimize, because of the large number of local minima.
Input Domain:
The function is usually evaluated on the square xi ∈ [-512, 512], for all i = 1, 2.Global Minimum:
Code:
Reference:
Global Optimization Test Functions Index. Retrieved June 2013, from http://infinity77.net/global_optimization/test_functions.html#test-functions-index.
For questions or comments, please email Derek Bingham at: dbingham@stat.sfu.ca.
LastUpdated
Copy