Franke's Function


Description:
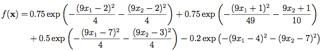
Dimensions: 2Franke's function has two Gaussian peaks of different heights, and a smaller dip. It is used as a test function in interpolation problems.
Input Domain:
The function is evaluated on the square xi ∈ [0, 1], for all i = 1, 2.Code:
References:
Franke, R. (1979). A critical comparison of some methods for interpolation of scattered data (No. NPS53-79-003). NAVAL POSTGRADUATE SCHOOL MONTEREY CA.
Haaland, B., & Qian, P. Z. (2011). Accurate emulators for large-scale computer experiments. The Annals of Statistics, 39(6), 2974-3002.
For questions or comments, please email Derek Bingham at: dbingham@stat.sfu.ca.
LastUpdated
Copy