Week 12
Nonlinear Oscillations with a Boundary-Layer
APMA 900 - Advanced Mathematical Methods

28 November
boundary-layer solver (code30.m)
boundary-layer script (code30a.m)
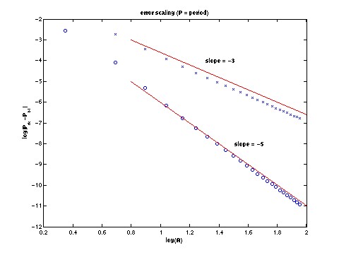
period solver (code31.m)
26 November
first integral for gumdrops (code28.m)
nonlinear ODE solver (code29.m)
ODE script (code29a.m)
