Park (1991) Function 1

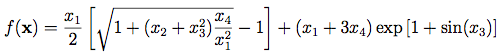
Description:
Dimensions: 4This function is a simple four-dimensional test function. For the purpose of tuning, Cox et al. (2001) add a small noise term to the response to simulate the collection of experimental data.
Input Domain:
The function is evaluated on the square xi ∈ [0, 1), for all i = 1, 2, 3, 4.Modifications and Alternative Forms:
For the purpose of multi-fidelity simulation, Xiong et al. (2013) use the following function for the lower fidelity code:
Code:
MATLAB Implementation
R Implementation
MATLAB Implementation, Lower Fidelity
R Implementation, Lower Fidelity
R Implementation
MATLAB Implementation, Lower Fidelity
R Implementation, Lower Fidelity
References:
Cox, D. D., Park, J. S., & Singer, C. E. (2001). A statistical method for tuning a computer code to a data base. Computational statistics & data analysis, 37(1), 77-92.
Park, J.S. (1991). Tuning complex computer codes to data and optimal designs. Unpublished Ph.D. Thesis, University of Illlinois, Champaign-Urbana.
Xiong, S., Qian, P. Z., & Wu, C. J. (2013). Sequential design and analysis of high-accuracy and low-accuracy computer codes. Technometrics, 55(1), 37-46.
For questions or comments, please email Derek Bingham at: dbingham@stat.sfu.ca.
LastUpdated
Copy