Piston Simulation Function

Description:
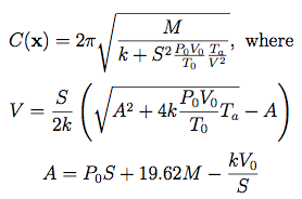
Dimensions: 7The Piston Simulation function models the circular motion of a piston within a cylinder. It involves a chain of nonlinear functions.
The response C is cycle time (the time it takes to complete one cycle), in seconds.
Input Domain:
The input variables and their usual input ranges are:| M ∈ [30, 60] | piston weight (kg) |
| S ∈ [0.005, 0.020] | piston surface area (m2) |
| V0 ∈ [0.002, 0.010] | initial gas volume (m3) |
| k ∈ [1000, 5000] | spring coefficient (N/m) |
| P0 ∈ [90000, 110000] | atmospheric pressure (N/m2) |
| Ta ∈ [290, 296] | ambient temperature (K) |
| T0 ∈ [340, 360] | filling gas temperature (K) |
Modifications and Alternative Forms:
For the purpose of input variable screening, Moon (2010) adds 13 input variables.Code:
References:
Ben-Ari, E. N., & Steinberg, D. M. (2007). Modeling data from computer experiments: an empirical comparison of kriging with MARS and projection pursuit regression. Quality Engineering, 19(4), 327-338.
Kenett, R., & Zacks, S. (1998). Modern industrial statistics: design and control of quality and reliability. Pacific Grove, CA: Duxbury press.
Moon, H. (2010). Design and Analysis of Computer Experiments for Screening Input Variables (Doctoral dissertation, Ohio State University).
Moon, H., Dean, A. M., & Santner, T. J. (2012). Two-stage sensitivity-based group screening in computer experiments. Technometrics, 54(4), 376-387.
For questions or comments, please email Derek Bingham at: dbingham@stat.sfu.ca.
LastUpdated
Copy