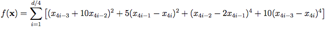
Powell Function

Description:
Dimensions: dInput Domain:
The function is usually evaluated on the hypercube xi ∈ [-4, 5], for all i = 1, …, d.Global Minimum:
Code:
Reference:
Global Optimization Test Problems. Retrieved June 2013, from
http://www-optima.amp.i.kyoto-u.ac.jp/member/student/hedar/Hedar_files/TestGO.htm.
Laguna, M., & Marti, R. Experimental Testing of Advanced Scatter Search Designs for Global Optimization of Multimodal Functions (2002). Retrieved June 2013, from http://www.uv.es/rmarti/paper/docs/global1.pdf.
For questions or comments, please email Derek Bingham at: dbingham@stat.sfu.ca.
LastUpdated
Copy