Chapter Contents

Previous

Next
DACCDB

DACCDB



Returns the accumulated declining balance depreciation

Category: Financial


Syntax
Arguments
Details
Examples

Syntax

DACCDB(p,v,y,r)

Arguments

p
is numeric, the period for which the calculation is to be done. For noninteger p arguments, the depreciation is prorated between the two consecutive time periods that precede and follow the fractional period.

v
is numeric, the depreciable initial value of the asset.

y
is numeric, the lifetime of the asset.
Range: y > 0

r
is numeric, the rate of depreciation expressed as a decimal.
Range: r > 0


Details

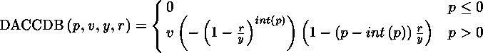
The DACCDB function returns the accumulated depreciation by using a declining balance method. The formula is

[IMAGE]

Note that int(p) is the integer part of p. The p and y arguments must be expressed by using the same units of time. A double-declining balance is obtained by setting r equal to 2.


Examples

An asset has a depreciable initial value of $1000 and a fifteen-year lifetime. Using a 200 percent declining balance, the depreciation throughout the first 10 years can be expressed as

   a=daccdb(10,1000,15,2);

The value returned is 760.93. The first and the third arguments are expressed in years.


Chapter Contents

Previous

Next

Top of Page

Copyright 1999 by SAS Institute Inc., Cary, NC, USA. All rights reserved.