Chapter Contents

Previous

Next
PDF

PDF



Computes probability density (mass) functions

Category: Probability
Alias: PMF


Syntax
Arguments
Details
Bernoulli Distribution
Beta Distribution
Binomial Distribution
Cauchy Distribution
Chi-squared Distribution
Exponential Distribution
F Distribution
Gamma Distribution
Geometric Distribution
Hypergeometric Distribution
Laplace Distribution
Logistic Distribution
Lognormal Distribution
Negative Binomial Distribution
Normal Distribution
Pareto Distribution
Poisson Distribution
T distribution
Uniform Distribution
Wald (Inverse Gaussian) Distribution
Weibull Distribution
Examples

Syntax

PDF ('dist',quantile,parm-1, . . . ,parm-k)

Arguments

'dist'
is a character string that identifies the distribution. Valid distributions are as follows:

Distribution Argument
Bernoulli
'BERNOULLI'
Beta
'BETA'
Binomial
'BINOMIAL'
Cauchy
'CAUCHY'
Chi-squared
'CHISQUARED'
Exponential
'EXPONENTIAL'
F
'F'
Gamma
'GAMMA'
Geometric
'GEOMETRIC'
Hypergeometric
'HYPERGEOMETRIC'
Laplace
'LAPLACE'
Logistic
'LOGISTIC'
Lognormal
'LOGNORMAL'
Negative binomial
'NEGBINOMIAL'
Normal
'NORMAL'|'GAUSS'
Pareto
'PARETO'
Poisson
'POISSON'
T
'T'
Uniform
'UNIFORM'
Wald (inverse Gaussian)
'WALD'|'IGAUSS'
Weibull
'WEIBULL'

Note:   Except for T and F, any distribution can be minimally identified by its first four characters.  [cautionend]

quantile
is a numeric random variable.

parm-1, . . . ,parm-k
are shape, location, or scale parameters appropriate for the specific distribution. See the description for each distribution in "Details" for complete information about these parameters.


Details

Bernoulli Distribution


Syntax

PDF('BERNOULLI',x,p)

where

x
is a numeric random variable.

p
is a numeric probability of success.
Range: 0 [le] p [le] 1

The PDF function for the Bernoulli distribution returns the probability density function of a Bernoulli distribution, with probability of success equal to p, which is evaluated at the value x. The equation follows:

[IMAGE]

Note:   There are no location or scale parameters for this distribution.  [cautionend]

Beta Distribution


Syntax

PDF('BETA',x,a,b<,l,r>)

where

x
is a numeric random variable.

a
is a numeric shape parameter.
Range: a > 0

b
is a numeric shape parameter.
Range: b > 0

l
is an optional numeric left location parameter.

r
is an optional right location parameter.
Range: r > l

The PDF function for the beta distribution returns the probability density function of a beta distribution, with shape parameters a and b, which is evaluated at the value x. The equation follows:

[IMAGE]

Note:   The quantity [IMAGE] is forced to be [IMAGE]. The default values for l and r are 0 and 1, respectively.   [cautionend]

Binomial Distribution


Syntax

PDF('BINOMIAL',m,p,n)

where

m
is an integer random variable that counts the number of successes.

p
is a numeric parameter that is the probability of success.
Range: 0 [le] p [le] 1

n
is an integer parameter that counts the number of independent Bernoulli trials.
Range: n > 0

The PDF function for the binomial distribution returns the probability density function of a binomial distribution, with parameters p and n, which is evaluated at the value m. The equation follows:

[IMAGE]

Note:   There are no location or scale parameters for the binomial distribution.  [cautionend]

Cauchy Distribution


Syntax

PDF('CAUCHY',x<,[thetas],[lambda]>)

where

x
is a numeric random variable.

[thetas]
is an optional numeric location parameter.

[lambda]
is an optional numeric scale parameter.
Range: [lambda] > 0

The PDF function for the Cauchy distribution returns the probability density function of a Cauchy distribution, with location parameter [thetas] and scale parameter [lambda], which is evaluated at the value x. The equation follows:

[IMAGE]

Note:   The default values for [thetas] and [lambda] are 0 and 1, respectively.  [cautionend]

Chi-squared Distribution


Syntax

PDF('CHISQUARED',x,df <,nc>)

where

x
is a numeric random variable.

df
is a numeric degrees of freedom parameter.
Range: df > 0

nc
is an optional numeric noncentrality parameter.
Range: nc [ge] 0

The PDF function for the chi-squared distribution returns the probability density function of a chi-squared distribution, with df degrees of freedom and noncentrality parameter nc, which is evaluated at the value x. This function accepts noninteger degrees of freedom. If nc is omitted or equal to zero, the value returned is from the central chi-squared distribution. The following equation describes the PDF function of the chi-squared distribution,

[IMAGE]

where pc(.,.) denotes the density from the central chi-squared distribution:

[IMAGE]

and where pg(y,b) is the density from the Gamma distribution, which is given by

[IMAGE]


Exponential Distribution


Syntax

PDF('EXPONENTIAL',x <,[lambda]>)

where

x
is a numeric random variable.

[lambda]
is an optional scale parameter.
Range: [lambda] > 0

The PDF function for the exponential distribution returns the probability density function of an exponential distribution, with scale parameter [lambda], which is evaluated at the value x. The equation follows:

[IMAGE]

Note:   The default value for [lambda] is 1.  [cautionend]

F Distribution


Syntax

PDF('F',x,ndf,ddf<,nc>)

where

x
is a numeric random variable.

ndf
is a numeric numerator degrees of freedom parameter.
Range: ndf > 0

ddf
is a numeric denominator degrees of freedom parameter.
Range: ddf > 0

nc
is a numeric noncentrality parameter.
Range: nc [ge] 0

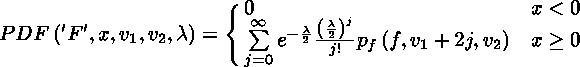
The PDF function for the F distribution returns the probability density function of an F distribution, with ndf numerator degrees of freedom, ddf denominator degrees of freedom, and noncentrality parameter nc, which is evaluated at the value x. This function accepts noninteger degrees of freedom for ndf and ddf. If nc is omitted or equal to zero, the value returned is from a central F distribution. The following equation describes the PDF function of the F distribution,

[IMAGE]

where pf(f,u1,u2) is the density from the central F distribution with

[IMAGE]

and where pB(x,a,b) is the density from the standard beta distribution.

Note:   There are no location scale parameters for the F distribution.  [cautionend]

Gamma Distribution


Syntax

PDF('GAMMA',x,a<,[lambda]>)

where

x
is a numeric random variable.

a
is a numeric shape parameter.
Range: a > 0

[IMAGE]
is an optional numeric scale parameter.
Range: [lambda] > 0

The PDF function for the gamma distribution returns the probability density function of a gamma distribution, with shape parameter a and scale parameter [lambda], which is evaluated at the value x. The equation follows:

[IMAGE]

Note:   The default value for [IMAGE] is 1.  [cautionend]

Geometric Distribution


Syntax

PDF('GEOMETRIC',m,p)

where

m
is a numeric random variable that denotes the number of failures.
Range: m [ge] 0

p
is a numeric probability.
Range: 0 [le] p [le] 1

The PDF function for the geometric distribution returns the probability density function of a geometric distribution, with parameter p, which is evaluated at the value m. The equation follows:

[IMAGE]

Note:   There are no location or scale parameters for this distribution.  [cautionend]

Hypergeometric Distribution


Syntax

PDF('HYPER',x,m,k,n<,r>)

where

x
is an integer random variable.

m
is an integer population size parameter.
Range: m [ge] 1

k
is an integer number of items in the category of interest.
Range: 0 [le] k [le] m

n
is an integer sample size parameter.
Range: 0 [le] n [le] m

r
is an optional numeric odds ratio parameter.
Range: r > 0

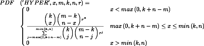
The PDF function for the hypergeometric distribution returns the probability density function of an extended hypergeometric distribution, with population size m, number of items k, sample size n, and odds ratio r, which is evaluated at the value x. If r is omitted or equal to 1, the value returned is from the usual hypergeometric distribution. The equation follows:

[IMAGE]


Laplace Distribution


Syntax

PDF('LAPLACE',x<,[Theta],[lambda]>)

where

x
is a numeric random variable.

[thetas]
is an optional numeric location parameter.

[lambda]
is an optional numeric scale parameter.
Range: [lambda] > 0

The PDF function for the Laplace distribution returns the probability density function of the Laplace distribution, with location parameter [thetas] and scale parameter [lambda], which is evaluated at the value x. The equation follows:

[IMAGE]

Note:   The default values for [thetas] and [lambda] are 0 and 1, respectively.  [cautionend]

Logistic Distribution


Syntax

PDF('LOGISTIC',x<,[Theta],[lambda]>)

where

x
is a numeric random variable.

[thetas]
is an optional numeric location parameter.

[lambda]
is an optional numeric scale parameter.
Range: [lambda] > 0

The PDF function for the logistic distribution returns the probability density function of a logistic distribution, with a location parameter [thetas] and a scale parameter [lambda], which is evaluated at the value x. The equation follows:

[IMAGE]

Note:   The default values for [thetas] and [lambda] are 0 and 1, respectively.  [cautionend]

Lognormal Distribution


Syntax

PDF('LOGNORMAL',x<,[Theta],[lambda]>)

where

x
is a numeric random variable.

[thetas]
is an optional numeric location parameter.

[lambda]
is an optional numeric scale parameter.
Range: [lambda] > 0

The PDF function for the lognormal distribution returns the probability density function of a lognormal distribution, with location parameter [thetas] and scale parameter [lambda], which is evaluated at the value x. The equation follows:

[IMAGE]

Note:   The default values for [thetas] and [lambda] are 0 and 1, respectively.  [cautionend]

Negative Binomial Distribution


Syntax

PDF('NEGBINOMIAL',m,p,n)

where

m
is a positive integer random variable that counts the number of failures.
Range: m [ge] 0

p
is a numeric probability of success parameter.
Range: 0 [le] p [le] 1

n
is an integer parameter that counts the number of successes.
Range: n [ge] 1

The PDF function for the negative binomial distribution returns the probability density function of a negative binomial distribution, with probability of success p and number of successes n, which is evaluated at the value m. The equation follows:

[IMAGE]

Note:   There are no location or scale parameters for the negative binomial distribution.  [cautionend]

Normal Distribution


Syntax

PDF('NORMAL',x<,[Theta],[lambda]>)

where

x
is a numeric random variable.

[thetas]
is an optional numeric location parameter.

[lambda]
is an optional numeric scale parameter.
Range: [lambda] > 0

The PDF function for the normal distribution returns the probability density function of a normal distribution, with location parameter [thetas] and scale parameter [lambda], which is evaluated at the value x. The equation follows:

[IMAGE]

Note:   The default values for [thetas] and [lambda] are 0 and 1, respectively.  [cautionend]

Pareto Distribution


Syntax

PDF('PARETO',x,a<,k>)

where

x
is a numeric random variable.

a
is a numeric shape parameter.
Range: a > 0

k
is an optional numeric scale parameter.
Range: k > 0

The PDF function for the Pareto distribution returns the probability density function of a Pareto distribution, with shape parameter a and scale parameter k, which is evaluated at the value x. The equation follows:

[IMAGE]

Note:   The default value for k is 1.  [cautionend]

Poisson Distribution


Syntax

PDF('POISSON',n,m)

where

n
is an integer random variable.

m
is a numeric mean parameter.
Range: m > 0

The PDF function for the Poisson distribution returns the probability density function of a Poisson distribution, with mean m, which is evaluated at the value n. The equation follows:

[IMAGE]

Note:   There are no location or scale parameters for the Poisson distribution.  [cautionend]

T distribution


Syntax

PDF('T',t,df<,nc>)

where

t
is a numeric random variable.

df
is a numeric degrees of freedom parameter.
range: df > 0

nc
is an optional numeric noncentrality parameter.

The PDF function for the T distribution returns the probability density function of a T distribution, with degrees of freedom df and noncentrality parameter nc, which is evaluated at the value x. This function accepts noninteger degrees of freedom. If nc is omitted or equal to zero, the value returned is from the central T distribution. The equation follows:

[IMAGE]

Note:   There are no location or scale parameters for the T distribution.  [cautionend]

Uniform Distribution


Syntax

PDF('UNIFORM',x<,l,r>)

where

x
is a numeric random variable.

l
is an optional numeric left location parameter.

r
is an optional numeric right location parameter.
Range: r > l

The PDF function for the uniform distribution returns the probability density function of a uniform distribution, with left location parameter l and right location parameter r, which is evaluated at the value x. The equation follows:

[IMAGE]

Note:   The default values for l and r are 0 and 1, respectively.  [cautionend]

Wald (Inverse Gaussian) Distribution


Syntax

PDF('WALD',x,d)
PDF('IGAUSS',x,d)

where

x
is a numeric random variable.

d
is a numeric shape parameter.
Range: d > 0

The PDF function for the Wald distribution returns the probability density function of a Wald distribution, with shape parameter d, which is evaluated at the value x. The equation follows:

[IMAGE]

Note:   There are no location or scale parameters for the Wald distribution.  [cautionend]

Weibull Distribution


Syntax

PDF('WEIBULL',x,a<,[lambda]>)

where

x
is a numeric random variable.

a
is a numeric shape parameter.
Range: a > 0

[lambda]
is an optional numeric scale parameter.
Range: [lambda] > 0

The PDF function for the Weibull distribution returns the probability density function of a Weibull distribution, with shape parameter a and scale parameter [lambda], which is evaluated at the value x. The equation follows:

[IMAGE]

Note:   The default value for [lambda] is 1.  [cautionend]


Examples

SAS Statements Results
y=pdf('BERN',0,.25);
0.75
y=pdf('BERN',1,.25);
0.25
y=pdf('BETA',0.2,3,4);
1.2288
y=pdf('BINOM',4,.5,10);
0.20508
y=pdf('CAUCHY',2);
0.063662
y=pdf('CHISQ',11.264,11);
0.081686
y=pdf('EXPO',1);
0.36788
y=pdf('F',3.32,2,3);
0.054027
y=pdf('GAMMA',1,3);
0.18394
y=pdf('HYPER',2,200,50,10);
0.28685
y=pdf('LAPLACE',1);
0.18394
y=pdf('LOGISTIC',1);
0.19661
y=pdf('LOGNORMAL',1);
0.39894
y=pdf('NEGB',1,.5,2);
0.25
y=pdf('NORMAL',1.96);
0.058441
y=pdf('PARETO',1,1);
1
y=pdf('POISSON',2,1);
0.18394
y=pdf('T',.9,5);
0.24194
y=pdf('UNIFORM',0.25);
1
y=pdf('WALD',1,2);
0.56419
y=pdf('WEIBULL',1,2);
0.73576


Chapter Contents

Previous

Next

Top of Page

Copyright 1999 by SAS Institute Inc., Cary, NC, USA. All rights reserved.