Chapter Contents

Previous

Next
PROBMC

PROBMC



Computes a probability or a quantile from various distributions for multiple comparisons of means, and returns a value

Category: Probability


Syntax
Arguments
Details
Formulas and Parameters
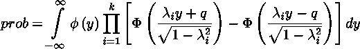
Many-One t-Statistics: Dunnett's One-Sided Test
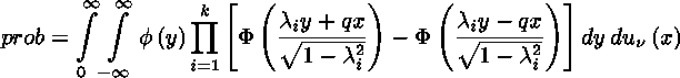
Many-One t-Statistics: Dunnett's Two-sided Test
The Studentized Range
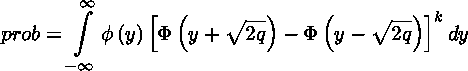
The Studentized Maximum Modulus
Williams' Test
Comparisons
Examples
Example 1: Using PROBMC to Compute Probabilities
Example 2: Comparing Means
Example 3: Computing Confidence Intervals
Example 4: Computing Williams' Test

Syntax

PROBMC(distribution, q, prob, df, nparms<, parameters>)

Arguments

distribution
is a character string that identifies the distribution. Valid distributions are

Distribution Argument
One-sided Dunnett
'DUNNETT1'
Two-sided Dunnett
'DUNNETT2'
Maximum Modulus
'MAXMOD'
Studentized Range
'RANGE'
Williams
'WILLIAMS'

q
is the quantile from the distribution.
Restriction: Either q or prob can be specified, but not both.

prob
is the left probability from the distribution.
Restriction: Either prob or q can be specified, but not both.

df
is the degrees of freedom.

Note:   A missing value is interpreted as an infinite value.  [cautionend]

nparms
is the number of treatments.

Note:   For DUNNETT1 and DUNNETT2, the control group is not counted.  [cautionend]

parameters
is an optional set of nparms parameters that must be specified to handle the case of unequal sample sizes. The meaning of parameters depends on the value of distribution. If parameters is not specified, equal sample sizes are assumed; this is usually the case for a null hypothesis.


Details

The PROBMC function returns the probability or the quantile from various distributions with finite and infinite degrees of freedom for the the variance estimate.

The prob argument is the probability that the random variable is less than q. Therefore, p-values can be computed as 1- prob. For example, to compute the critical value for a 5% significance level, set prob= 0.95. The precision of the computed probability is O(10--8) (absolute error); the precision of computed quantile is O(10--5).

Note:   The studentized range is not computed for finite degrees of freedom and unequal sample sizes.  [cautionend]

Note:   Williams' test is computed only for equal sample sizes.  [cautionend]

Formulas and Parameters

The equations listed here define expressions used in equations that relate the probability, prob, and the quantile, q, for different distributions and different situations within each distribution. For these equations, let [nu] be the degrees of freedom, df.

[IMAGE]

[IMAGE]

[IMAGE]


Many-One t-Statistics: Dunnett's One-Sided Test


Many-One t-Statistics: Dunnett's Two-sided Test


The Studentized Range

Note:    The studentized range is not computed for finite degrees of freedom and unequal sample sizes.  [cautionend]


The Studentized Maximum Modulus


Williams' Test

PROBMC computes the probabilities or quantiles from the distribution defined in Williams (1971, 1972) (See References). It arises when you compare the dose treatment means with a control mean to determine the lowest effective dose of treatment.

Note:   Williams' Test is computed only for equal sample sizes.  [cautionend]

Let X1, X2, ..., Xk be identical independent N(0,1) random variables. Let Yk denote their average given by

[IMAGE]

It is required to compute the distribution of

[IMAGE]

where
Yk is as defined previously
Z is a N(0,1) independent random variable
S is such that ½[nu]S2 is a [chi]2 variable with [nu] degrees of freedom.

As described in Williams (1971) (See References), the full computation is extremely lengthy and is carried out in three stages.

  1. Compute the distribution of Yk. It is the fundamental (expensive) part of this operation and it can be used to find both the density and the probability of Yk. Let Ui be defined as

    [IMAGE]

    You can write a recursive expression for the probability of Yk > d, with d being any real number.

    [IMAGE]

    To compute this probability, start from a N(0,1) density function

    [IMAGE]

    and recursively compute the convolution

    [IMAGE]

    From this sequential convolution, it is possible to compute all the elements of the recursive equation for [IMAGE], shown previously.

  2. Compute the distribution of Yk - Z. This involves another convolution to compute the probability

    [IMAGE]

  3. Compute the distribution of (Yk - Z)/S. This involves another convolution to compute the probability

    [IMAGE]

The third stage is not needed when [nu] = ∞. Due to the complexity of the operations, this lengthy algorithm is replaced by a much faster one when k [le] 15 for both finite and infinite degrees of freedom [nu]. For k [ge] 16, the lengthy computation is carried out. It is extremely expensive and very slow due to the complexity of the algorithm.


Comparisons

The MEANS statement in the GLM Procedure of SAS/STAT Software computes the following tests:


Examples

Example 1: Using PROBMC to Compute Probabilities

This example shows how to use PROBMC in a DO loop to compute probabilities:

data probs;
   array par{5};
      par{1}=.5;
      par{2}=.51;
      par{3}=.55;
      par{4}=.45;
      par{5}=.2;
   df=40;
   q=1;
   do test="dunnett1","dunnett2", "maxmod";
      prob=probmc(test, q, ., df, 5, of par1-par5);
      put test $10. df q e18.13 prob e18.13;
   end;
run; 
Probabilities from PROBMC shows the results of this DATA step that are printed to the SAS log.

Probabilities from PROBMC
DUNNETT1  40  1.00000000000E+00 4.82992188740E-01
DUNNETT2  40  1.00000000000E+00 1.64023099613E-01
MAXMOD    40  1.00000000000E+00 8.02784203408E-01


Example 2: Comparing Means

This example shows how to compare group means to find where the significant differences lie. The data for this example is taken from a paper by Duncan (1955) (See References) and can also be found in Hochberg and Tamhane (1987) (See References). The group means are
49.6
71.2
67.6
61.5
71.3
58.1
61.0
For this data, the mean square error is s2 = 79.64 (s = 8.924) with [nu] = 30.

data duncan;
   array tr{7}$;
   array mu{7};
   n=7;
   do i=1 to n;
      input tr{i} $1. mu{i};
   end;
   input df s alpha;
   prob= 1-alpha;
      /* compute the interval */
   x = probmc("RANGE", ., prob, df, 7);
   w = x * s / sqrt(6);
      /* compare the means */
   do i = 1 to n;
      do j = i + 1 to n;
         dmean = abs(mu{i} - mu{j});
         if dmean >= w then do;
            put tr{i} tr{j} dmean;
         end;
      end;
   end;
   datalines;
A 49.6
B 71.2
C 67.6
D 61.5
E 71.3
F 58.1
G 61.0
 30 8.924 .05
;
Group Differences shows the results of this DATA step that are printed to the SAS log.

Group Differences
A B 21.6
A C 18
A E 21.7


Example 3: Computing Confidence Intervals

This example shows how to compute 95% one-sided and two-sided confidence intervals of Dunnett's test. This example and the data come from Dunnett (1955) (See References) and can also be found in Hochberg and Tamhane (1987) (See References). The data are blood count measurements on three groups of animals. As shown in the following table, the third group serves as the control, while the first two groups were treated with different drugs. The numbers of animals in these three groups are unequal.

Treatment Group: Drug A Drug B Control

9.76 12.80 7.40

8.80 9.68 8.50

7.68 12.16 7.20

9.36 9.20 8.24


10.55 9.84



8.32
Group Mean 8.90 10.88 8.25
n 4 5 6

The mean square error s2 = 1.3805 (s = 1.175) with [nu] = 12.

data a;
   array drug{3}$;
   array count{3};
   array mu{3};
   array lambda{2};
   array delta{2};
   array left{2};
   array right{2};

      /* input the table */
   do i = 1 to 3;
      input drug{i} count{i} mu{i};
   end;

      /* input the alpha level,    */
      /* the degrees of freedom,   */
      /* and the mean square error */
   input alpha df s;
   
      /* from the sample size, */
      /* compute the lambdas   */
   do i = 1 to 2;
      lambda{i} = sqrt(count{i}/
        (count{i} + count{3}));
   end;

      /* run the one-sided Dunnett's test */
   test="dunnett1";
      x = probmc(test, ., 1 - alpha, df, 
                 2, of lambda1-lambda2);
      do i = 1 to 2;
         delta{i} = x * s * 
            sqrt(1/count{i} + 1/count{3});
         left{i} = mu{i} - mu{3} - delta{i};
      end;
   put test $10. x left{1} left{2};

      /* run the two-sided Dunnett's test */
   test="dunnett2";
      x = probmc(test, ., 1 - alpha, df, 
                 2, of lambda1-lambda2);
      do i=1 to 2;
         delta{i} = x * s * 
            sqrt(1/count{i} + 1/count{3});
         left{i} = mu{i} - mu{3} - delta{i};
         right{i} = mu{i} - mu{3} + delta{i};
      end;
   put test $10. left{1} right{1};
   put test $10. left{2} right{2};
   datalines;
A 4 8.90
B 5 10.88
C 6 8.25
0.05 12 1.175
;
Confidence Intervals shows the results of this DATA step that are printed to the SAS log.

Confidence Intervals
DUNNETT1  2.1210786586 -0.958751705 1.1208571303
DUNNETT2  -1.256411895 2.5564118953
DUNNETT2  0.8416271203 4.4183728797


Example 4: Computing Williams' Test

Suppose that a substance has been tested at seven levels in a randomized block design of eight blocks. The observed treatment means are as follows:

Treatment Mean
X0 10.4
X1 9.9
X2 10.0
X3 10.6
X4 11.4
X5 11.9
X6 11.7

The mean square, with (7 - 1)(8 - 1) = 42 degrees of freedom, is s2 = 1.16.

Determine the maximum likelihood estimates Mi through the averaging process.

Now the order restriction is satisfied.

The maximum likelihood estimates under the alternative hypothesis are
M0 = M1 = M2 = X0,1,2 = 10.1
M3 = X3 = 10.6
M4 = X4 = 11.4
M5 = M6 = X5,6 = 11.8

Now compute [IMAGE], and the probability that corresponds to k = 6, [nu] = 42, and t = 2.60 is .9924467341, which shows strong evidence that there is a response to the substance. You can also compute the quantiles for the upper 5% and 1% tails, as shown in the following table.

SAS Statements Results
prob=probmc("williams",2.6,.,42,6);
0.99244673
quant5=probmc("williams",.,.95,42,6);
1.80654052
quant1=probmc("williams",.,.99,42,6);
2.49087829


Chapter Contents

Previous

Next

Top of Page

Copyright 1999 by SAS Institute Inc., Cary, NC, USA. All rights reserved.