|
There may be more than one way to express a particular deterministic
model (i.e., functional relationship).
Deterministically identical models may be parameterized in alternate
formulations depending upon which parameters are of direct interest
to the investigator.
Here is an example of three parameterizations of the deterministic
model for simple linear regression with two parameters.
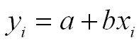
The typical formulation is:

where the intercept (a) and slope (b) are the parameters of interest.
One alternate formulation is:

where the investigator may be interested in directly estimating
the mean of Y and the slope (b). Note that the mean of X is determined
entirely by the data.
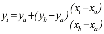
A third alternate formulation is:

where the investigator may be interested in estimating two values
of Y (ya and yb), at two predetermined values
of X (xa and xb).
The advantage of each parameterization in the above examples is
direct estimation of the corresponding parameter values and their
SEs.
There is no requirement to use sometimes messy approximation techniques
for calculating the means and variances of indirectly estimated
parameters of interest.
|