Chapter Contents

Previous

Next
DACCSYD

DACCSYD



Returns the accumulated sum-of-years-digits depreciation

Category: Financial


Syntax
Arguments
Details
Examples

Syntax

DACCSYD(p,v,y)

Arguments

p
is numeric, the period for which the calculation is to be done. For noninteger p arguments, the depreciation is prorated between the two consecutive time periods that precede and follow the fractional period.

v
is numeric, the depreciable initial value of the asset.

y
is numeric, the lifetime of the asset.
Range: y > 0


Details

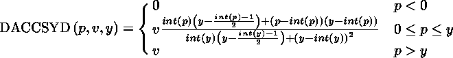
The DACCSYD function returns the accumulated depreciation by using the sum-of-years-digits method. The formula is

[IMAGE]

Note that int(y) indicates the integer part of y. The p and y arguments must be expressed by using the same units of time.


Examples

An asset, acquired on 01OCT86, has a depreciable initial value of $1,000 and a five-year lifetime. The accumulated depreciation of the asset throughout 01JAN88 can be expressed as

   y2=daccsyd(15/12,1000,5);

The value returned is 400.00. The first and the third arguments are expressed in years.


Chapter Contents

Previous

Next

Top of Page

Copyright 1999 by SAS Institute Inc., Cary, NC, USA. All rights reserved.