Chapter Contents

Previous

Next
DEPDBSL

DEPDBSL



Returns the declining balance with conversion to a straight-line depreciation

Category: Financial


Syntax
Arguments
Details
Examples

Syntax

DEPDBSL(p,v,y,r)

Arguments

p
is an integer, the period for which the calculation is to be done.

v
is numeric, the depreciable initial value of the asset.

y
is an integer, the lifetime of the asset.
Range: y > 0

r
is numeric, the rate of depreciation that is expressed as a fraction.
Range: r [ge] 0


Details

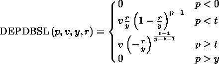
The DEPDBSL function returns the depreciation by using the declining balance method with conversion to a straight-line depreciation, which is given by

[IMAGE]

where

[IMAGE]

and int( ) denotes the integer part of a numeric argument.

The p and y arguments must be expressed by using the same units of time. The declining balance that changes to a straight-line depreciation chooses for each time period the method of depreciation (declining balance or straight-line on the remaining balance) that gives the larger depreciation.


Examples

An asset has a depreciable initial value of $1,000 and a ten-year lifetime. Using a declining balance rate of 150 percent, the depreciation of the value of the asset in the fifth year can be expressed as

   y5=depdbsl(5,1000,10,1.5);

The value returned is 87.00. The first and the third arguments are expressed in years.


Chapter Contents

Previous

Next

Top of Page

Copyright 1999 by SAS Institute Inc., Cary, NC, USA. All rights reserved.