Chapter Contents

Previous

Next
MORT

MORT



Returns amortization parameters

Category: Financial


Syntax
Arguments
Details
Examples

Syntax

MORT(a,p,r,n)

Arguments

a
is numeric, the initial amount.

p
is numeric, the periodic payment.

r
is numeric, the periodic interest rate that is expressed as a fraction.

n
is an integer, the number of compounding periods.
Range: n [ge] 0


Details

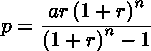
The MORT function returns the missing argument in the list of four arguments from an amortization calculation with a fixed interest rate that is compounded each period. The arguments are related by

[IMAGE]

One missing argument must be provided. It is then calculated from the remaining three. No adjustment is made to convert the results to round numbers.


Examples

An amount of $50,000 is borrowed for 30 years at an annual interest rate of 10 percent compounded monthly. The monthly payment can be expressed as

   payment=mort(50000, . , .10/12,30*12);

The value returned is 438.79. The second argument has been set to missing, which indicates that the future value is to be calculated. The 10 percent nominal annual rate has been converted to a monthly rate of 0.10/12. The rate is the fractional (not the percentage) interest rate per compounding period. The 30 years are converted into 360 months.


Chapter Contents

Previous

Next

Top of Page

Copyright 1999 by SAS Institute Inc., Cary, NC, USA. All rights reserved.