Chapter Contents

Previous

Next
CONVXP

CONVXP



Returns the convexity for a periodic cashflow stream, such as a bond

Category: Financial


Syntax
Arguments
Details
Examples

Syntax

CONVXP(A,c,n,K,k0,y)

Arguments

A
the par value.
Range: A > 0

c
the nominal per-period coupon rate, expressed as a fraction.
Range: 0 < c < 1

n
the number of coupons per period.
Range: n > 0 and is an integer

K
the number of remaining coupons.
Range: K > 0 and is an integer

k0
the time from present to the first coupon date, expressed in terms of the number of periods.
Range: 0 < k0 > 1/n

y
the nominal per-period yield-to-maturity, expressed as a fraction.
Range: y > 0


Details

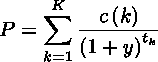
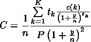
The CONVXP function returns the value

[IMAGE]

where
[IMAGE]
[IMAGE] for k=1, ..., K-1
[IMAGE]
and where

[IMAGE]


Examples

c=convxp(1000,1/100, 4,14,.33/2,.10);

The value returned is 11.6023.


Chapter Contents

Previous

Next

Top of Page

Copyright 1999 by SAS Institute Inc., Cary, NC, USA. All rights reserved.