Chapter Contents

Previous

Next
YIELDP

YIELDP



Returns the yield-to-maturity for a periodic cashflow stream, such as a bond

Category: Financial


Syntax
Arguments
Details
Examples

Syntax

YIELDP(A,c,n,K,k0,p)

Arguments

A
the par value.
Range: A > 0

c
the nominal per-period coupon rate, expressed as a fraction.
Range: 0 < c < 1

n
the number of coupons per period.
Range: n > 0 and is an integer

K
the number of remaining coupons.
Range: K > 0 and is an integer

k0
the time from present to the first coupon date, expressed in terms of the number of periods.
Range: 0 < k0 < 1/n

p
the present value of the periodic cashflow stream.
Range: p > 0


Details

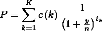
The YIELDP function is based on the relationship

[IMAGE]

where
[IMAGE]
[IMAGE] for k=1, ..., K-1
[IMAGE]
The YIELDP function solves for y.


Examples

p=yieldp(1000,1/100,4,14,.33/2,800);

The value returned is 0.077503.


Chapter Contents

Previous

Next

Top of Page

Copyright 1999 by SAS Institute Inc., Cary, NC, USA. All rights reserved.