Chapter Contents

Previous

Next
DUR

DUR



Returns the modified duration for an enumerated cashflow

Category: Financial


Syntax
Arguments
Details
Examples

Syntax

DUR(y,f,c(1), ... ,c(k))

Arguments

y
the effective per-period yield-to-maturity, expressed as a fraction.
Range: y > 0

f
the frequency of cashflows per period.
Range: f > 0

c(1), ... ,c(k)
a list of cashflows.


Details

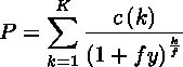
The DUR function returns the value

[IMAGE]

where

[IMAGE]


Examples

d=dur(1/20,1,.33,.44,.55,.49,.50,.22,.4,.8,.01,.36,.2,.4);

The value returned is 5.28402.


Chapter Contents

Previous

Next

Top of Page

Copyright 1999 by SAS Institute Inc., Cary, NC, USA. All rights reserved.