next up previous


Postscript version of these notes

STAT 350: Lecture 32

Example: transformation vs glm

At each of 5 doses of some drug 40 animals were tested and the number dying were recorded. The log doses are -3.204, -2.903, -2.602, -2.301, and -2.000 and the numbers surviving are 7, 18, 32, 35, 38. A plot of the data is

After the arcsine transform we have
A more standard transformation for this problem is the logit or logistic

\begin{displaymath}Y_i^* = \log[Y_i/(n_i-Y_i)]
\end{displaymath}

Here is the data analyzed by least squares after the logistic transformation

THE DATA FILE

Dose   Dead  Tested
-3.204    7     40
-2.903   18     40
-2.602   32     40
-2.301   35     40
-2.000   38     40

I used SPlus to analyze the data; here is a file full of commands I used.

dead <- read.table("data", header = T)
attach(dead)
postscript("logist.ps",onefile=F,horizontal=F)
plot(Dose, Dead/Tested,xlab="Log Dose",
     ylab="Proportion Dying")
dev.off()
postscript("arc_logist.ps",onefile=F,horizontal=F)
plot(Dose, Dead/Tested,xlab="Log Dose",
     ylab="Arc Sine Transform")
dev.off()
postscript("logit_logist.ps",onefile=F,horizontal=F)
plot(Dose, log(Dead/(Tested-Dead)),xlab="Log Dose",
     ylab="Logit Transform")
dev.off()
linfit <- lm( log(Dead/(Tested-Dead)) ~ Dose, data=dead)
summary(linfit)
glmfit <- glm( cbind(Dead,Tested-Dead) ~ Dose, 
     data=dead, family=binomial)
summary(glmfit)
postscript("logist_plus_curve.ps",onefile=F,horizontal=F)
plot(Dose, Dead/Tested,xlab="Log Dose",
     ylab="Proportion Dying")
d <- seq(-3.3,-1.9,length=200)
etalin <- coef(linfit)[1] + d*coef(linfit)[2]
p  <- exp(etalin)/(1+exp(etalin))
lines(d,p)
etaglm <- coef(glmfit)[1] + d*coef(glmfit)[2]
p  <- exp(etaglm)/(1+exp(etaglm))
lines(d,p,lty=2)
dev.off()
The output consists of 4 postscript files which have graphs in them and the following printout:
S-PLUS : Copyright (c) 1988, 1996 MathSoft, Inc.
S : Copyright AT&T.
Version 3.4 Release 1 for Sun SPARC, SunOS 5.3 : 1996 
Working data will be in .Data 
> dead <- read.table("data", header = T)
#
#    Read in the data.  Columns are named by the words 
#    read off line 1 because of the header=T bit.
#
> attach(dead)
#
#    Makes the variable which are columns of dead
#    accessible to the plotting rooutines
#
> postscript("logist.ps",onefile=F,horizontal=F)
#
#    Declares that the next graph should be put
#    in a postscript file called logist.ps.  The 
#    file should be encapsulated postscript and in 
#    portrait orientation.
#
> plot(Dose, Dead/Tested,xlab="Log Dose",
     ylab="Proportion Dying")
#
#    Plot Proportion dying on the y axis against 
#    Dose and label the axes
#
> dev.off()
#
#    Finish up the postscript file
#
Starting to make postscript file.
Finished postscript file, 
     executing command "lpr -h logist.ps &".
 null device 
           1
> postscript("arc_logist.ps",onefile=F,horizontal=F)
> plot(Dose, asin(sqrt(Dead/Tested)),xlab="Log Dose",
     ylab="Arc Sine Transform")
> dev.off()
Starting to make postscript file.
Finished postscript file, 
     executing command "lpr -h arc_logist.ps &".
 null device 
           1
> postscript("logit_logist.ps",onefile=F,horizontal=F)
> plot(Dose, log(Dead/(Tested-Dead)),xlab="Log Dose",
     ylab="Logit Transform")
> dev.off()
Starting to make postscript file.
Finished postscript file, 
     executing command "lpr -h logit_logist.ps &".
 null device 
           1
> linfit <- lm( log(Dead/(Tested-Dead)) ~ Dose, data=dead)
#
#   Regress log(Y/(n-Y)) on Dose
#
> summary(linfit)
#
#   Print out a summary of the regression results.
#
Call: lm(formula = log(Dead/(Tested - Dead)) ~ Dose, 
     data = dead)
Residuals:
       1       2      3        4      5 
 -0.2283 0.00792 0.4812 -0.07283 -0.188

Coefficients:
              Value Std. Error t value Pr(>|t|) 
(Intercept) 10.5322  0.9109    11.5626  0.0014 
       Dose  3.6999  0.3455    10.7095  0.0017 

Residual standard error: 0.3288 on 3 degrees of freedom
Multiple R-Squared: 0.9745 
F-statistic: 114.7 on 1 and 3 degrees of freedom, 
     the p-value is 0.001741 

Correlation of Coefficients:
     (Intercept) 
Dose 0.9869     
> glmfit <- glm( cbind(Dead,Tested-Dead) ~ Dose, 
     data=dead, family=binomial)
# 
#   This fits the model that log(E(Y)/(n-E(Y)) is 
#   a linear function of Dose
#
> summary(glmfit)

Call: glm(formula = cbind(Dead, Tested - Dead)~Dose, 
     family = binomial, data = dead)
Deviance Residuals:
          1           2        3         4          5 
 -0.4319303 -0.03563685 1.026423 -0.476305 -0.5453582

Coefficients:
                Value Std. Error  t value 
(Intercept) 11.238232  1.5651480 7.180300
       Dose  3.936472  0.5604985 7.023162

(Dispersion Parameter for Binomial family 
     taken to be 1 )

    Null Deviance: 80.77441 on 4 degrees of freedom

Residual Deviance: 1.76566 on 3 degrees of freedom

Number of Fisher Scoring Iterations: 3 

Correlation of Coefficients:
     (Intercept) 
Dose 0.9929832  
> 
> postscript("logist_plus_curve.ps",onefile=F,
     horizontal=F)
> plot(Dose, Dead/Tested,xlab="Log Dose",
     ylab="Proportion Dying")
> d <- seq(-3.3,-1.9,length=200)
> etalin <- coef(linfit)[1] + d*coef(linfit)[2]
> p  <- exp(etalin)/(1+exp(etalin))
#
#    For each dose in d, which is a list of 200 numbers 
#    running from -3.3 to -1.9, compute the fitted 
#    probability according to the logit model: 
#    if log(x/(1-x))=p   then p=exp(x)/(1+exp(x))
#
> lines(d,p)
#
#   Plot the fitted curve for the least squares 
#   method on the graph of the data
#
> etaglm <- coef(glmfit)[1] + d*coef(glmfit)[2]
> p  <- exp(etaglm)/(1+exp(etaglm))
#
#    Do the same for the generalized model fit
#
> lines(d,p,lty=2)
#
#   Plot the fitted curve for the glm method on the 
#   graph of the data.  Use a dashed (lty=2) line.
#
> dev.off()
Starting to make postscript file.
Finished postscript file, 
    executing command "lpr -h logist_plus_curve.ps &".
 null device 
           1
> q() # end-of-file

Poisson Regression: Count Data

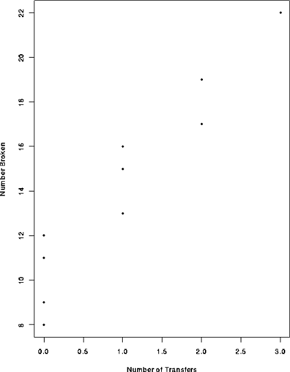
In the table below the first row is the number of times a carton of glass objects was transferred from one aircraft to another during shipping. The second row is the number of broken objects.

i: 1 2 3 4 5 6 7 8 9 10
Xi 1 0 2 0 3 1 0 1 2 0
Yi 16 9 17 12 22 13 8 15 19 11

A reasonable model is that Yi has a Poisson distribution with mean $\mu_i$ which depends in some way on Xi. We fit 3 models:

1.
The ordinary linear regression model

\begin{displaymath}Y_i=\beta_0+\beta_1 X_i + \epsilon_i
\end{displaymath}

for which the relevant plot is

2.
The transformed regression model

\begin{displaymath}\sqrt{Y_i} = \beta_0 + \beta_1X_i + \epsilon_i
\end{displaymath}

for which the relevant plot is

3.
The Poisson regression model in which Yi has a Poisson($\mu_i$) distribution and

\begin{displaymath}\log\mu_i = \beta_0+\beta_1 X_i\end{displaymath}

or equivalently

\begin{displaymath}\mu_i = \exp(\beta_0+\beta_1 X_i)
\end{displaymath}

The following SPlus code fits these models

dat <- read.table("data", header = T)
attach(dat)
postscript("xyplot.ps",onefile=F,horizontal=F)
plot(Transfers,Broken,
     xlab="Number of Transfers",
     ylab="Number Broken")
dev.off()
postscript("xrootyplot.ps",onefile=F,horizontal=F)
plot(Transfers, sqrt(Broken),
     xlab="Number of Transfers",
     ylab="Square Root Transform")
dev.off()
#
#   Regress Number Broken on Number of Transfers
#
linfit <- lm( Broken ~ Transfers, data=dat)
summary(linfit)
diag(linfit)
#
#   Regress Square Root of Number Broken 
#     on Number of Transfers
#
rootlinfit <- lm( sqrt(Broken) ~ Transfers, data=dat)
summary(rootlinfit)
diag(rootlinfit)
# 
#   The following fits log(E(Y)) is a linear function
#   of Dose and variance is equal to the mean
#
glmfit <- glm( Broken ~ Transfers, data=dat, 
     family=Poisson)
summary(glmfit)
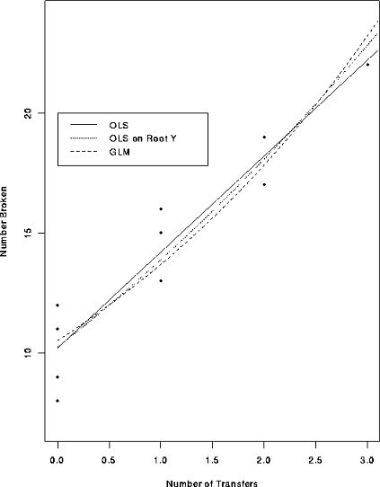
postscript("points_plus_curve.ps",onefile=F,horizontal=F)
plot(Transfers,Broken,xlab="Number of Transfers",
     ylab="Number Broken")
d <- seq(0,4,length=200)
etalin <- coef(linfit)[1] + d*coef(linfit)[2]
lines(d,etalin)
etarootlin <- coef(rootlinfit)[1] + d*coef(rootlinfit)[2]
lines(d,etarootlin^2,lty=2)
etaglm <- coef(glmfit)[1] + d*coef(glmfit)[2]
p  <- exp(etaglm)
lines(d,p,lty=3)
legend(0,20,lty=1:3,legend=c("OLS","OLS on Root Y","GLM"))
dev.off()

EDITED OUTPUT (Complete output.)

> summary(linfit)

Call: lm(formula = Broken ~ Transfers, data = dat)
Residuals:
  Min   1Q Median  3Q Max 
 -2.2 -1.2    0.3 0.8 1.8

Coefficients:
              Value Std. Error t value Pr(>|t|) 
(Intercept) 10.2000  0.6633    15.3771  0.0000 
  Transfers  4.0000  0.4690     8.5280  0.0000 

Residual standard error: 1.483 on 8 degrees of freedom
Multiple R-Squared: 0.9009 
F-statistic: 72.73 on 1 and 8 degrees of freedom, 
     the p-value is 2.749e-05 

Correlation of Coefficients:
          (Intercept) 
Transfers -0.7071    

> summary(rootlinfit)

Call: lm(formula = sqrt(Broken) ~ Transfers, data = dat)
Residuals:
     Min      1Q  Median     3Q   Max 
 -0.3722 -0.1263 0.01059 0.1392 0.274

Coefficients:
              Value Std. Error t value Pr(>|t|) 
(Intercept)  3.2006  0.1010    31.6789  0.0000 
  Transfers  0.5254  0.0714     7.3538  0.0001 

Residual standard error: 0.2259 on 8 degrees of freedom
Multiple R-Squared: 0.8711 
F-statistic: 54.08 on 1 and 8 degrees of freedom, 
     the p-value is 7.965e-05 

Correlation of Coefficients:
          (Intercept) 
Transfers -0.7071    

> summary(glmfit)

Call: glm(formula = Broken ~ Transfers, 
     family = poisson, data = dat)
Deviance Residuals:
        Min         1Q      Median        3Q       Max 
 -0.8105292 -0.2389281 -0.02029464 0.3299091 0.6074179

Coefficients:
                Value Std. Error   t value 
(Intercept) 2.3529495  0.1317376 17.860883
  Transfers 0.2638422  0.0792345  3.329891

(Dispersion Parameter for Poisson family taken to be 1 )

    Null Deviance: 12.56868 on 9 degrees of freedom

Residual Deviance: 1.813176 on 8 degrees of freedom

Number of Fisher Scoring Iterations: 3 

Correlation of Coefficients:
          (Intercept) 
Transfers -0.770864

The fits together


next up previous



Richard Lockhart
1999-03-23