Site Meter

Leznoff Group

Actinide Chemistry

Analogous to our diamidoether-transition metal studies, we are investigating diamidoether-actinides; these compounds should have different reactivity compared to most organoactinides, which are dominated by Cp-type ligands. In general, actinide complexes are of interest since they have unique structures and reactivity compared to transition-metals due to their large size and, for some uranium oxidation states, the presence of f-electrons.

We prepared isostructural diamagnetic d0f0 Th(IV) and paramagnetic d0f2 U(IV) [tBuNON]AnX2 and [tBuNON]An(Cp)X (X=halide or alkyl) complexes and are now probing the question: What is the impact of unpaired f-electrons on the chemistry? We are interested in the reactivity of these organoactinides with respect to the addition of neutral ligands, metathesis chemistry, small molecule activation and catalytic polymerization.

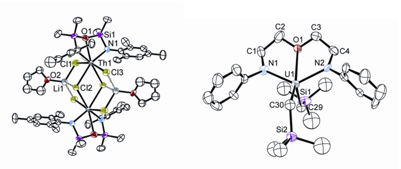
Above Figures and Scheme. Synthesis, alkylation reactions and some representative structures of diamidoether actinide(IV) complexes with the [tBuNON] ligand.

We have also prepared a series of structurally interesting actinide "ate" complexes (compounds that retain salt), which can be readily alkylated to yield salt-free organoactinide products. Studying the reactivity of these materials, which have different ancillary ligands, will illustrate the importance of ligand design on organoactinide chemistry.

Related projects that investigate the chemistry of uranium with a variety of ligand systems, from oxidation state +3 to +6 are also being developed.

For more details, see:

Leznoff, D.B.; Mund, G.; Jantunen, K.C.; Bhatia, P.; Gabert, A.J.; Batchelor, R.J. "Diamidoether Complexes of Uranium and Transition-Metals." J. Nucl. Sci. Tech., Supplement 3, Nov. 2002, 406-409.

Jantunen, K.C.; Batchelor, R.J.; Leznoff, D.B. "Synthesis, Characterization and Organometallic Derivatives of Diamidosilyl Ether Thorium(IV) and Uranium(IV) Halide Complexes", Organometallics, 2004, 23, 2186-2193. Download

Jantunen, K.C.; Haftbaradaran, F.; Katz, M.J.; Batchelor, R.J.; Schatte, G.; Leznoff, D.B. "Synthesis and Structure of Diamido Ether Uranium(IV) and Thorium(IV) Halide "Ate" Complexes and their Conversion to Salt-Free Bis-Alkyl Complexes", Dalton Trans., 2005, 3083-3091. Download

Back to the research page.