Abstract

A five-layer silicon-based nanoplasmonic waveguiding structure is proposed for ultrafast all-optical modulation and switching applications. Ultrafast nonlinear phase and amplitude modulation is achieved via photo-generated free carrier dynamics in ion-implanted silicon using above-bandgap femtosecond pump pulses. Both an analytical model and rigorous numerical simulations of the structures have shown that a switching time of 5ps and an on-off contrast of 35dB can be achieved in these devices.

Figures

Figure 1
Figure 2
Figure 3
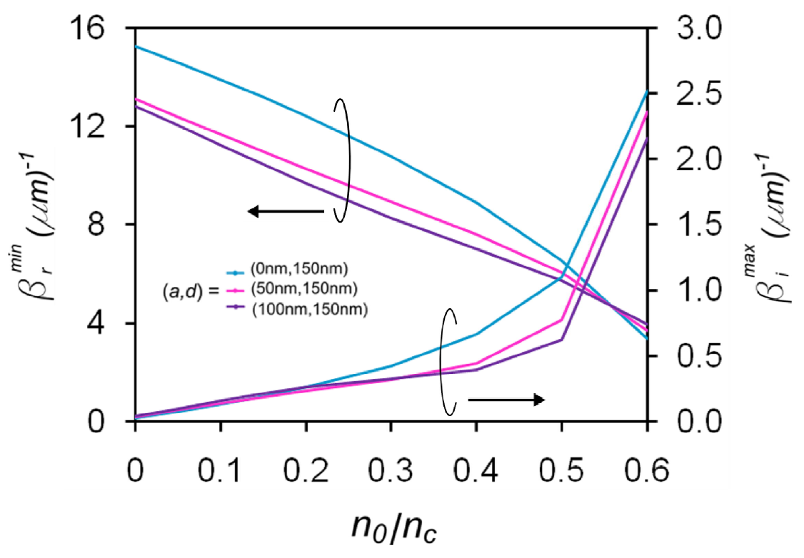
Figure 4
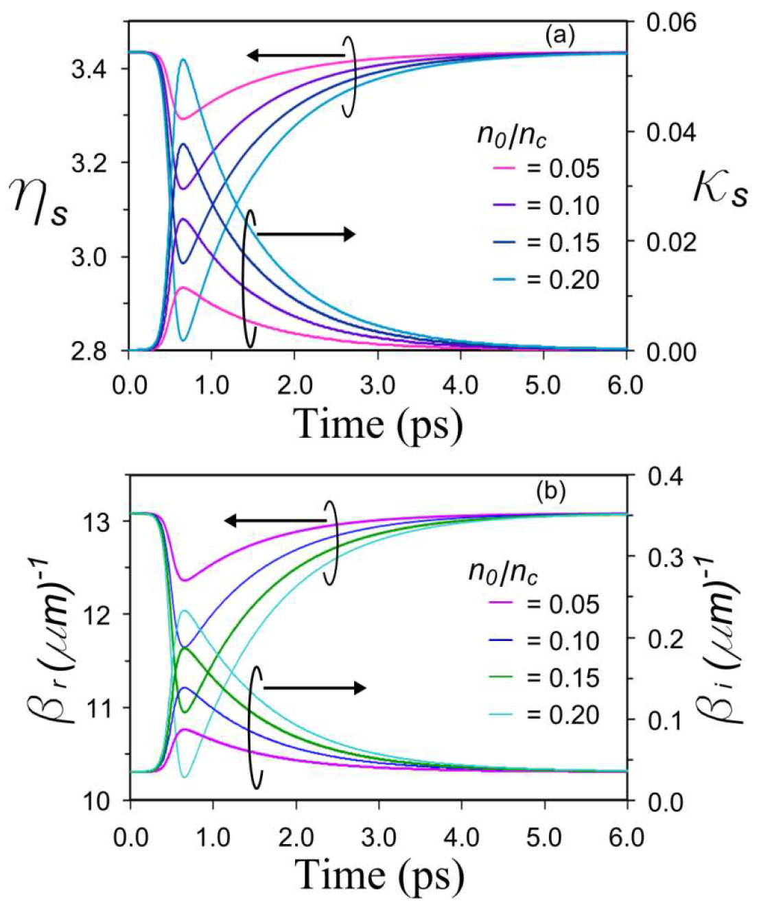
Figure 5
Figure 6